Log in
Sign up for FREE
arrow_back
Library

[AP Statistics] 6.2b Combining Random Variables

star
star
star
star
star
Last updated 9 months ago
22 questions
1
1
1
1
1
1
1
1
1
1
1
1
1
1
1
1
1
1
1
1
1
1
Question 1
1.

Question 2
2.

Interpret the mean of D

Question 3
3.


Round to two decimal places

Question 4
4.

Interpret the standard deviation of D.

Question 5
5.

What values of D correspond to Morgan winning?

Question 6
6.

What is the probability that Morgan will make more baskets than Tim in a randomly selected match? Assume that the distribution of scoring for each of them is normally distributed.

Round to two decimal places.

Question 7
7.


Enter just the mean of the sum below. Round to the nearest dollar. No dollar signs or commas.

Question 8
8.

Interpret the mean of the sum

Question 9
9.

Enter the standard deviation of the sum. Round to the nearest dollar. No dollar signs or commas.

Question 10
10.

Interpret the standard deviation of the sum

Question 11
11.


Round to the nearest tenth of a unit.

Question 12
12.




Assume the individuals are independent. Find the mean of W. Round to the nearest dollar. No dollar signs or commas.

Question 13
13.

Find the Standard Deviation of W. Round to the nearest dollar. No dollar signs or commas.

Question 14
14.

What is W measuring in the context of this problem?

Question 15
15.

How does the mean and standard deviation of W compare to the mean and standard deviation of covering only 1 person?

Question 16
16.


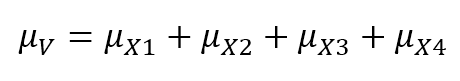
Find the Mean of V. Round to the nearest dollar. No dollar signs or commas.



When you have more than two random variables, you can still find the mean by adding up all of the individual means.


Question 17
17.

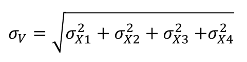
Find the standard deviation of V. Round to the nearest dollar. No dollar signs or commas.

When you have more than two random variables, you can find the standard deviation by taking the square root and adding up all of the individual variances.


Question 18
18.

How does the mean and standard deviation of V compare to the mean and standard deviation of covering only 1 person or covering two people (W above)?

Question 19
19.


The time for the entire process T = X + Y

What is the mean of T?

Question 20
20.

What is the standard deviation of T? Round to the nearest hundredth

Question 21
21.

Answer as a decimal and round to the nearest hundredth

Question 22
22.

Are there any problems above that you would like to go over in class? Indicate the question numbers below (Numbers refer to the Formative question number). I'll try to cover anything that is highly requested.
1
2
3
4
5
6
7
8
9
10
11
12
13
14
15
16
17
18
19
20