5th Grade Midterm CASE Exam
star
star
star
star
star
Last updated about 3 years ago
39 questions




1 point
1
Question 1
1.
1 point
1
Question 2
2.
1 point
1
Question 3
3.

1 point
1
Question 4
4.
1 point
1
Question 5
5.
1 point
1
Question 6
6.

1 point
1
Question 7
7.
1 point
1
Question 8
8.



1 point
1
Question 9
9.
1 point
1
Question 10
10.
1 point
1
Question 11
11.

1 point
1
Question 12
12.
1 point
1
Question 13
13.
1 point
1
Question 14
14.

1 point
1
Question 15
15.

1 point
1
Question 16
16.
1 point
1
Question 17
17.


1 point
1
Question 18
18.
1 point
1
Question 19
19.
1 point
1
Question 20
20.

1 point
1
Question 21
21.
1 point
1
Question 22
22.

1 point
1
Question 23
23.
1 point
1
Question 24
24.
1 point
1
Question 25
25.



1 point
1
Question 26
26.
1 point
1
Question 27
27.

1 point
1
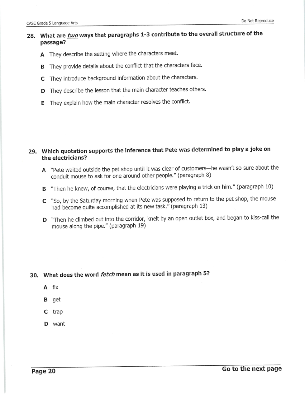
Question 28
28.
1 point
1
Question 29
29.
1 point
1
Question 30
30.

1 point
1
Question 31
31.
1 point
1
Question 32
32.
1 point
1
Question 33
33.

1 point
1
Question 34
34.

1 point
1
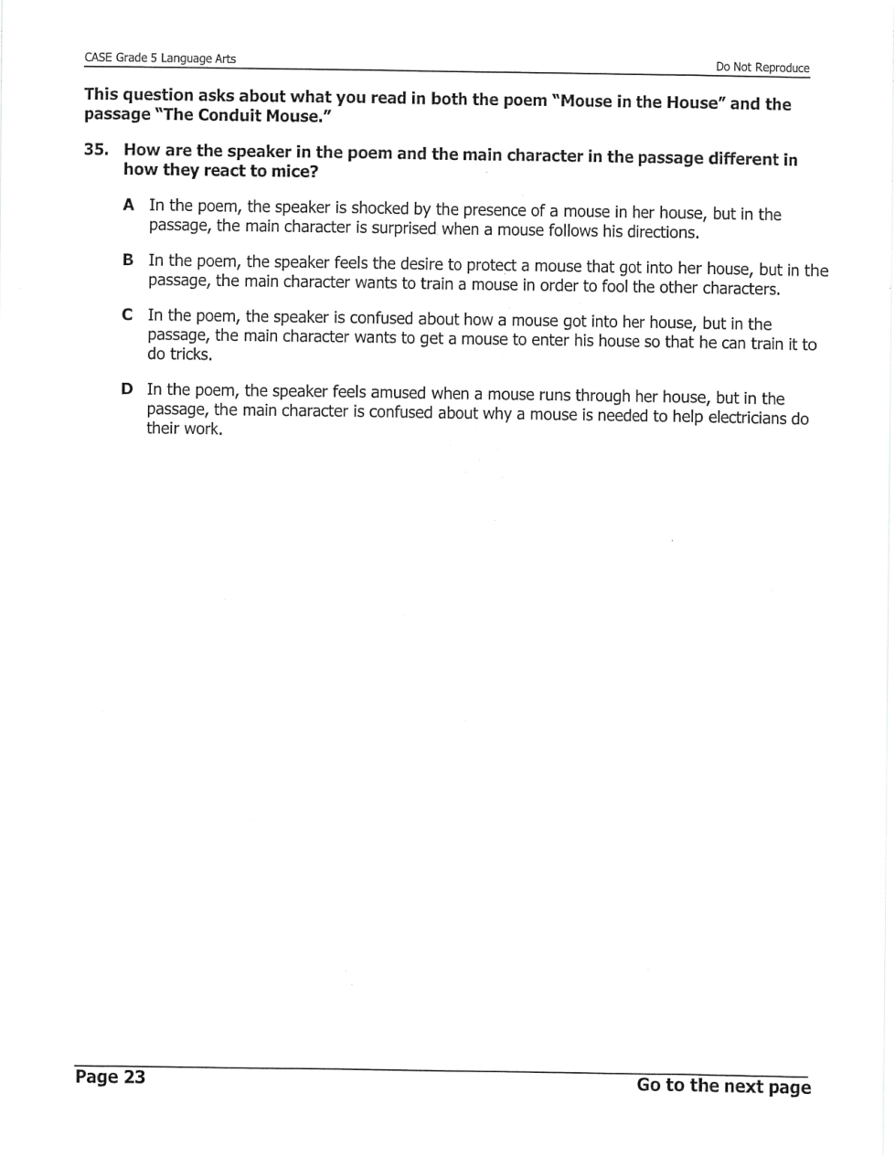
Question 35
35.

1 point
1
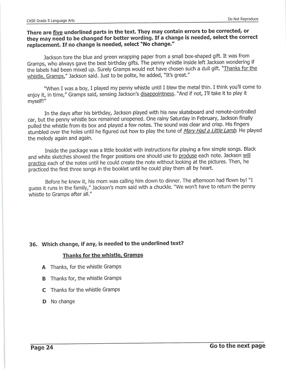
Question 36
36.

1 point
1
Question 37
37.
1 point
1
Question 38
38.
1 point
1
Question 39
39.