Homework 4 - Slope-Intercept Form
star
star
star
star
star
Last updated over 1 year ago
10 questions
1
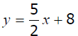
What is the slope of the following equation:
What is the slope of the following equation:
1
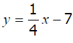
What is the y-intercept of the following equation:
What is the y-intercept of the following equation:
1
Graph the following equation in the show your work section.
Graph the following equation in the show your work section.
1
Graph the following equation in the show your work section.
Graph the following equation in the show your work section.
1
Graph the following equation in the show your work section.
Graph the following equation in the show your work section.
1
Graph the following equation in the show your work section.
Graph the following equation in the show your work section.
1
Write the equation of the line in slope intercept form.
Write the equation of the line in slope intercept form.
1
Write the equation of the line in slope intercept form.
Write the equation of the line in slope intercept form.
1
Choose the best equation for the graph above.
Choose the best equation for the graph above.
1
Choose the best equation for the graph above.
Choose the best equation for the graph above.