Log in
Sign up for FREE
arrow_back
Library
SLO 8th Grade Social Studies 2022-2023 Final (Changed)
By David Lang
star
star
star
star
star
Share
share
Last updated almost 3 years ago
16 questions
Add this activity
1
2
3
4
5
zoom_in
1 point
1
Question 1
1.
A
B
C
D
1 point
1
Question 2
2.
1 point
1
Question 3
3.
A
B
C
D
1 point
1
Question 4
4.
A
B
C
D
1 point
1
Question 5
5.
A
B
C
D
6
7
8
9
10
11
zoom_in
1 point
1
Question 6
6.
A
B
C
D
1 point
1
Question 7
7.
A
B
C
D
1 point
1
Question 8
8.
A
B
C
D
1 point
1
Question 9
9.
A
B
C
D
1 point
1
Question 10
10.
A
B
C
D
1 point
1
Question 11
11.
A
B
C
D
12
13
14
15
16
zoom_in
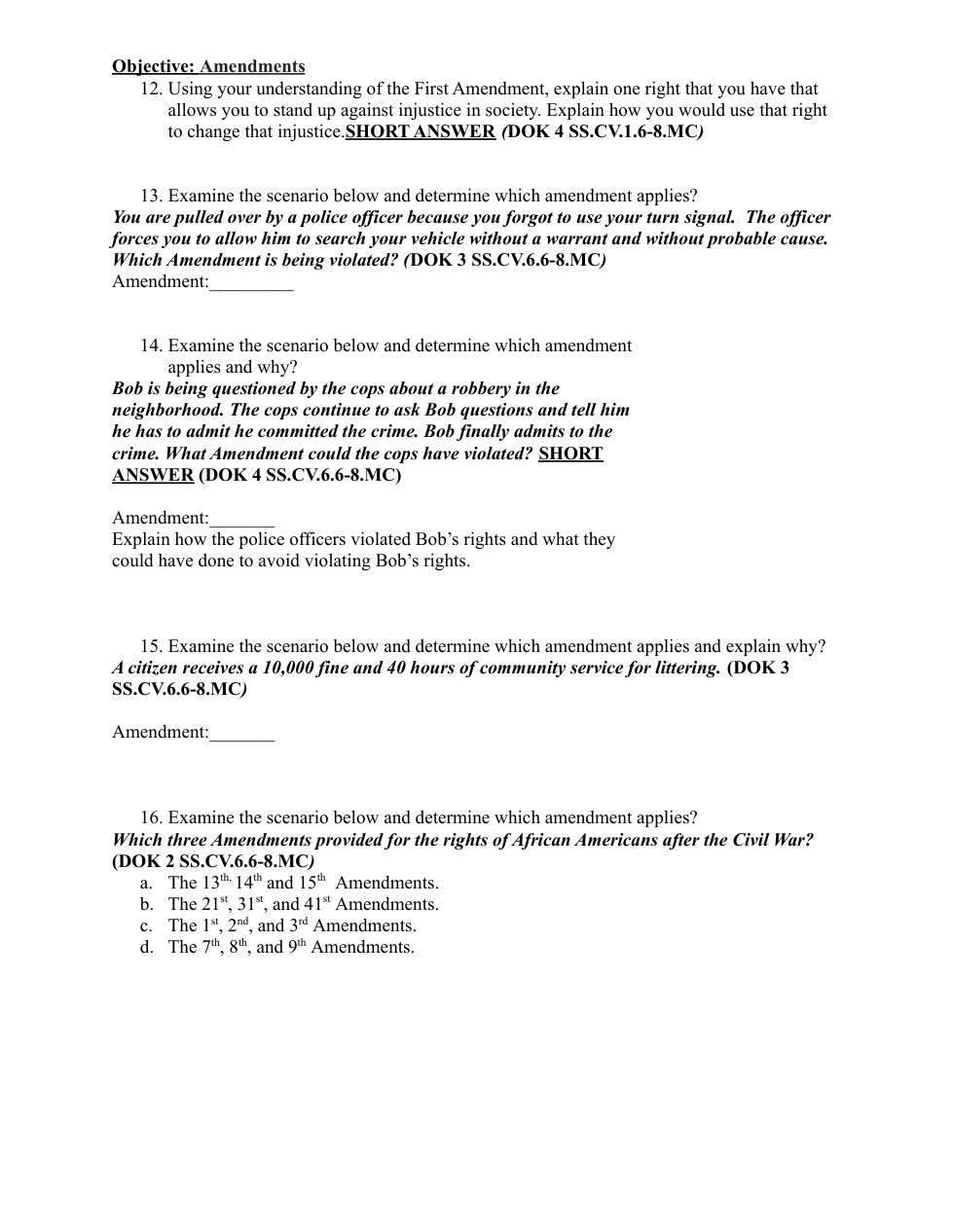
1 point
1
Question 12
12.
1 point
1
Question 13
13.
1 point
1
Question 14
14.
1 point
1
Question 15
15.
1 point
1
Question 16
16.
A
B
C
D