Homework 3 - Substitution Day 2
star
star
star
star
star
Last updated over 1 year ago
6 questions
1
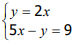
Solve the following system using substitution. Work must be shown and type your answer as an ordered pair with parentheses.
Solve the following system using substitution. Work must be shown and type your answer as an ordered pair with parentheses.
1
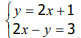
Solve the following system using substitution. Work must be shown and type your answer as an ordered pair with parentheses.
Solve the following system using substitution. Work must be shown and type your answer as an ordered pair with parentheses.
1
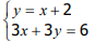
Solve the following system using substitution. Work must be shown and type your answer as an ordered pair with parentheses.
Solve the following system using substitution. Work must be shown and type your answer as an ordered pair with parentheses.
1
Solve the following system using substitution. Work must be shown and type your answer as an ordered pair with parentheses.
Solve the following system using substitution. Work must be shown and type your answer as an ordered pair with parentheses.
1
Solve the following system using substitution. Work must be shown and type your answer as an ordered pair with parentheses.
Solve the following system using substitution. Work must be shown and type your answer as an ordered pair with parentheses.
1
Solve the following system using substitution. Work must be shown and type your answer as an ordered pair with parentheses.
Solve the following system using substitution. Work must be shown and type your answer as an ordered pair with parentheses.