Homework 7 - Systems Review
star
star
star
star
star
Last updated over 1 year ago
9 questions
1
Graph the system in the show your work section. Type the solution as an ordered pair, infinite, or no solutions in the text box.
Graph the system in the show your work section. Type the solution as an ordered pair, infinite, or no solutions in the text box.
1
Graph the system in the show your work section. Type the solution as an ordered pair, infinite, or no solutions in the text box.
Graph the system in the show your work section. Type the solution as an ordered pair, infinite, or no solutions in the text box.
1
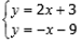
Solve the following system by substitution. Type the solution as an ordered pair, infinite, or no solutions in the text box.
Solve the following system by substitution. Type the solution as an ordered pair, infinite, or no solutions in the text box.
1
Solve the following system by substitution. Type the solution as an ordered pair, infinite, or no solutions in the text box.
Solve the following system by substitution. Type the solution as an ordered pair, infinite, or no solutions in the text box.
1
Solve the following system by substitution. Type the solution as an ordered pair, infinite, or no solutions in the text box.
Solve the following system by substitution. Type the solution as an ordered pair, infinite, or no solutions in the text box.
1
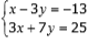
Solve the following system by elimination. Type the solution as an ordered pair, infinite, or no solutions in the text box.
Solve the following system by elimination. Type the solution as an ordered pair, infinite, or no solutions in the text box.
1
Solve the following system by elimination. Type the solution as an ordered pair, infinite, or no solutions in the text box.
Solve the following system by elimination. Type the solution as an ordered pair, infinite, or no solutions in the text box.
1
Graph the solutions to the system of inequalities.
Graph the solutions to the system of inequalities.
1
Type yous solution below like the following:n=__,q=__No spaces, just a comma between.
Type yous solution below like the following:
n=__,q=__
No spaces, just a comma between.