Log in
Sign up for FREE
arrow_back
Library

Formative 1: Systems of Equations - Graphing and Substitution

star
star
star
star
star
Last updated over 1 year ago
11 questions
2
2
2
2
2
2
3
3
3
3
4
Level 2
Question 1
1.

Solve the following system by GRAPHING. You must graph the lines in the show your work box. (Hint: turn them into slope intercept form first.
3x + y = 5
y = (-1/4)x - 6

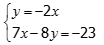
Question 2
2.

Solve the following system by GRAPHING. You must graph the lines in the show your work box. (Hint: turn them into slope intercept form first.

Question 3
3.

Solve the following system by SUBSTITUTION. Work must be shown in the show your work section.

Question 4
4.

Solve the following system by SUBSTITUTION. Work must be shown in the show your work section.

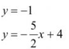
Question 5
5.

Solve the following system by SUBSTITUTION. Work must be shown in the show your work section.

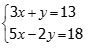
Question 6
6.

Solve the following system by GRAPHING. Work must be shown in the show your work section.

Level 3
Question 7
7.


Type your 2-3 sentences in the text box below.

Show your work for graphing or substitution in the show your work section.

Question 8
8.

Below are the results for finding the solution to a system of equations. State how many solutions the different results yield and explain why.
x = -5
y = 2

Question 9
9.

Below are the results for finding the solution to a system of equations. State how many solutions the different results yield and explain why.
2 = -5

Question 10
10.

Below are the results for finding the solution to a system of equations. State how many solutions the different results yield and explain why.
-5 = -5

Level 4
Question 11
11.

Tionna has $4.00 in dimes and quarters in her car.  She counts a total of 25 coins.  Define the variables and write a system of equations that could be used to find a solution.