Log in
Sign up for FREE
arrow_back
Library

Copy of ALGEBRA 1 - UNIT 4 - LINEAR SYSTEMS - EXAM (8/9/2024)

star
star
star
star
star
Last updated about 2 months ago
12 questions
2
2
2
2
2
2
2
3
3
3
4
4
Question 1
1.

LEVEL 2
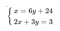
Using the substitution method, what is the solution to the system of equations?
SHOW YOUR WORK.

Question 2
2.

LEVEL 2
Using the elimination method, what is the solution to the system of equations?
SHOW YOUR WORK.

Question 3
3.

LEVEL 2
Solve the system of equations by graphing. You MUST have a graph to receive full credit!

Question 4
4.

LEVEL 2
Which ordered pair is a solution of the inequality: 6x−2y > 12?
SHOW YOUR WORK.

Question 5
5.

LEVEL 2
Which system of inequalities is shown in the graph?

Question 6
6.

LEVEL 2
What is the solution to the inequalities? Shade the area that represents the solution set?
SHOW YOUR WORK.

Question 7
7.

LEVEL 2
Jamal has a $50 budget to buy pens and notebooks for an event. He plans to buy pens that cost $2.75 each and notebooks that cost $5.25 each. Which inequality represents the number of pens " x" and notebooks "y", that Jamal can buy?
SHOW YOUR WORK.

Question 8
8.

LEVEL 3
Using the substitution method or the elimination method, what is the solution to the system of equations?
SHOW YOUR WORK.

Question 9
9.
LEVEL 3
Keegan bought 5 T-shirts and 2 pairs of shorts for $49.50. Each pair of shorts "s " cost twice as much as each T-shirt " t ".
SHOW YOUR WORK.
A. Which system of equations (shown in the Show Your Work box) can be used to find the price of the shorts and T-shirts?
_______
B. How much did Keegan pay for each T-shirt and each pair of shorts?
T-shirt: _______
Shorts: _______
Question 10
10.

LEVEL 3
What is the inequality shown in the graph?
SHOW YOUR WORK.

Question 11
11.
LEVEL 4
The manager of a movie theater compared ticket sales for two movies showing on the same night. For the first movie, 150 adult tickets and 100 child tickets were sold for $3,087.50 in total ticket sales. For the second movie, 200 adult tickets and 150 child tickets were sold for $4,287.50 in total ticket sales. What was the price of each adult and each child ticket?
SHOW YOUR WORK.
Adult Ticket: _______
Child Ticket: _______
Question 12
12.
LEVEL 4
Layla rents a table at the farmers market for $8.50 per hour. She wants to sell enough $6 flower bouquets to earn at least $400.
A. Write an inequality to represent the number of bouquets "x" Layla needs to sell and the number of hours "y" she needs to rent the table.
_______
If the farmer's market is open for 5 hours, how many bouquets does she need to sell to meet her goal?
_______
If she rents the table for 3 hours, and she sells 70 bouquets, will she meet her goal? Why or why not?
_______
SHOW YOUR WORK.
(10, -12)
D