Log in
Sign up for FREE
arrow_back
Library
[AP Calculus BC] 9.4 Classwork/Homework
By Oliver Khamky
star
star
star
star
star
Share
share
Last updated about 2 years ago
10 questions
Add this activity
1
1
1
1
1
1
1
1
1
1
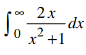
Question 1
1.
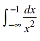
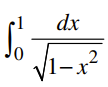
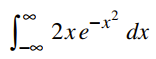
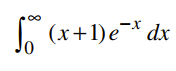
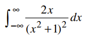
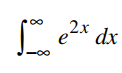
Evaluate each integral.
If it converges, give the result. It could be an integer or a decimal rounded to 2 places
If it diverges, answer diverges. Make sure you know how to show it diverges.
Question 2
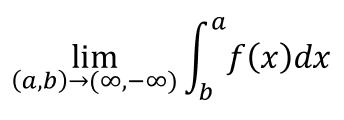
2.
Since this one is unbounded on both sides, use two different variables with your limit, as shown below:
Question 3
3.
Question 4
4.
Question 5
5.
Question 6
6.
Question 7
7.
Question 8
8.
Question 9
9.
Question 10
10.