Log in
Sign up for FREE
arrow_back
Library
Solving Equations (8.8C)
By Diana Trevino Barrientos
star
star
star
star
star
Share
share
Last updated about 3 years ago
10 questions
Add this activity
Required
10
8.8.C
Required
10
8.8.C
Required
10
8.8.C
Required
10
Required
10
8.8.C
Required
10
8.8.C
Required
10
8.8.C
Required
10
8.8.C
Required
10
8.8.C
Required
10
8.8.C
Question 1
1.
78
13
21
43
Question 2
2.
Question 3
3.
K = -14
True
False
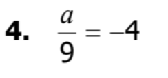
Question 4
4.
18
12
67
4
Question 5
5.
__________x __________ = __________x + __________
so x = __________
Question 6
6.
8
5
-3
-1
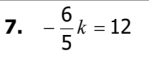
Question 7
7.
3
-9
-8
6
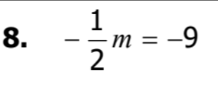
Question 8
8.
56
12
78
32
Question 9
9.
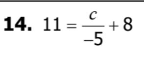
Question 10
10.
10
12
6
7