Log in
Sign up for FREE
arrow_back
Library
L'Hospital's Rule
By Genene Cook
star
star
star
star
star
Share
share
Last updated about 1 month ago
15 questions
Add this activity
1
1
1
1
1
1
1
1
1
1
1
1
1
1
1
Question 1
1.
Question 2
2.
Question 3
3.
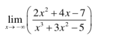
Question 4
4.
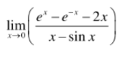
Question 5
5.
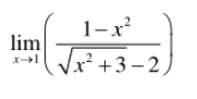
Question 6
6.
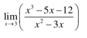
Question 7
7.
Question 8
8.
Question 9
9.
Question 10
10.
Question 11
11.
Question 12
12.
Question 13
13.
Question 14
14.
Question 15
15.