Practice: Completing the Squares, Vertex and Axis of Symmetry
star
star
star
star
star
Last updated over 2 years ago
12 questions
1
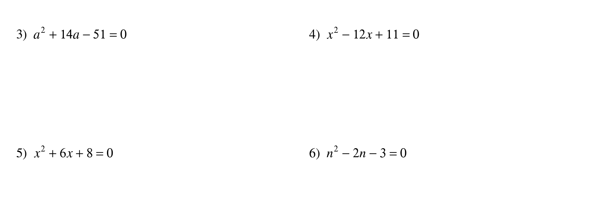
Solve the following by completing the square.
Solve the following by completing the square.
1
Write the equation for the axis of symmetry for the above parabola.
Write the equation for the axis of symmetry for the above parabola.
1
Write down the coordinates of the parabola described above.
Write down the coordinates of the parabola described above.
1
From the information you have gained, draw the shape of the parabola and mark the vertex and x intercepts.
From the information you have gained, draw the shape of the parabola and mark the vertex and x intercepts.
1
Solve the following by completing the square.
Solve the following by completing the square.
1
Write the equation for the axis of symmetry for the above parabola.
Write the equation for the axis of symmetry for the above parabola.
1
Write down the coordinates of the parabola described above.
Write down the coordinates of the parabola described above.
1
From the information you have gained, draw the shape of the parabola and mark the vertex and x-intercepts.
From the information you have gained, draw the shape of the parabola and mark the vertex and x-intercepts.

1
1
1
1
