Unit 4 - Lesson 6 - Grade 3: Illustrative Mathematics
star
star
star
star
star
Last updated 9 months ago
12 questions
Note from the author:
Grade 3 Unit 4
Lesson 6: Division as an Unknown Factor
CC BY 2021 Illustrative MathematicsĀ®
Grade 3 Unit 4
Lesson 6: Division as an Unknown Factor
CC BY 2021 Illustrative MathematicsĀ®
Lesson: Division as an Unknown Factor
Notice and Wonder: Missing Numbers (Warm Up)
1 point
1
Question 1
1.
What you do notice?
1 point
1
Question 2
2.
What do you wonder?
Equations about Onions
A farmer puts 14 onions into 2 bags, with the same number of onions in each bag.
Lin says the situation should be represented by the equation:
Mai says the situation should be represented by the equation:
1 point
1
Question 3
3.
Whose equation do you agree with? Be ready to explain your reasoning.
At the Farmers' Market
1 point
1
Question 4
4.
Complete the row.
1 point
1
Question 5
5.
Explain your reasoning.
1 point
1
Question 6
6.
Complete the row.
1 point
1
Question 7
7.
Explain your reasoning.
1 point
1
Question 8
8.
Complete the row.
1 point
1
Question 9
9.
Explain your reasoning.
1 point
1
Question 10
10.
Complete the row.
1 point
1
Question 11
11.
Explain your reasoning.
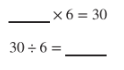
Cool Down: Boxed Muffins
1 point
1
Question 12
12.
There are 30 muffins for the bake sale. Each box has 6 muffins. How many boxes are there?
Tyler wrote two equations for this problem.
He says the same number goes in each blank even though one equation is a multiplication equation and the other equation is a division equation. Is he correct? Explain or show your reasoning.