Log in
Sign up for FREE
arrow_back
Library
🟠Math Lesson 83
By Kristi Korgel
star
star
star
star
star
Share
share
Last updated about 2 months ago
15 questions
Add this activity
1
2
3
zoom_in
1
Question 1
1.
visibility
View drawing
1
Question 2
2.
visibility
View drawing
1
4
5
6
8
9
10
11
12
13
7
zoom_in
1
1
1
1
1
1
1
1
1
1
14
15
zoom_in
1
Question 14
14.
3 full circles!!
visibility
View drawing
1
Question 15
15.
visibility
View drawing
Question 3
3.
visibility
View drawing
Question 4
4.
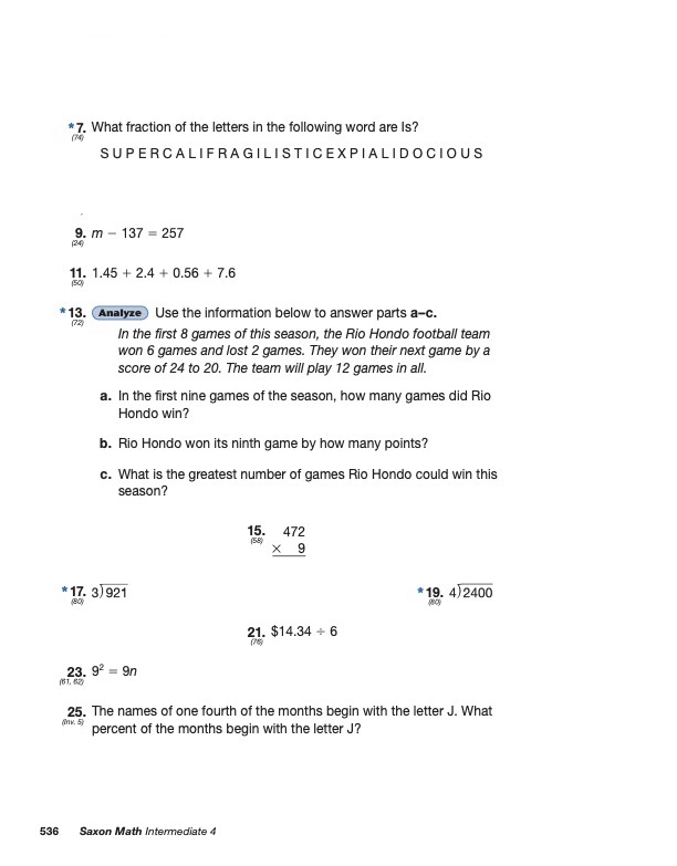
What fraction are I's?
Question 5
5.
visibility
View drawing
Question 6
6.
visibility
View drawing
Question 7
7.
a._______ b._______ c._______
visibility
View drawing
Question 8
8.
visibility
View drawing
Question 9
9.
visibility
View drawing
Question 10
10.
visibility
View drawing
Question 11
11.
visibility
View drawing
Question 12
12.
visibility
View drawing
Question 13
13.
visibility
View drawing