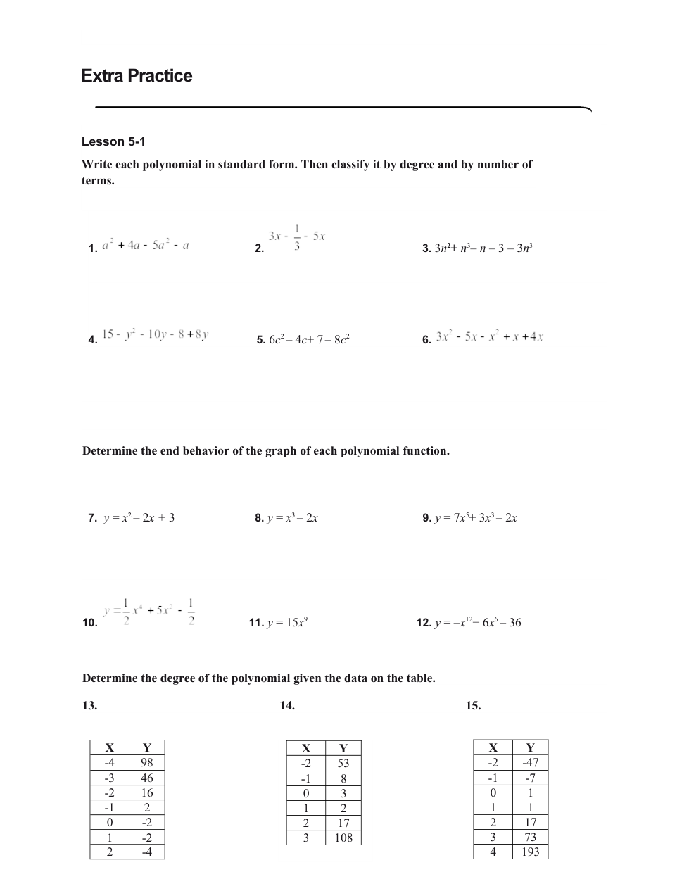
5-1 Practice (teacher paced)
star
star
star
star
star
Last updated almost 3 years ago
15 questions

3
Standard form _______
Classify by degree _______
Classify by number of terms _______
3
Standard form _______
Classify by degree _______
Classify by number of terms _______
3
Standard form _______
Classify by degree _______
Classify by number of terms _______
3
Standard form _______
Classify by degree _______
Classify by number of terms _______
3
Standard form _______
Classify by number of terms _______
Classify by number of terms_______
3
Standard form _______
Classify by degree _______
Classify by number of terms _______

1
1
End behavior?
End behavior?
1
End behavior?
End behavior?
1
End behavior?
End behavior?
1
End behavior?
End behavior?
1
End behavior?
End behavior?

2
The value of the final common difference is _______ , making this a _______ degree polynomial
2
The value of the final common difference is _______ , making this a _______ degree polynomial
2
The value of the final common difference is _______ , making this a _______ degree polynomial