Log in
Sign up for FREE
arrow_back
Library
Practice: Changing the Subject of an Equation
By Theresa Joseph
star
star
star
star
star
Share
share
Last updated over 2 years ago
21 questions
Add this activity
Watch this video if you feel you need additional help.
1
2
3
4
5
6
7
8
9
10
11
12
13
14
15
16
17
18
19
20
21
zoom_in
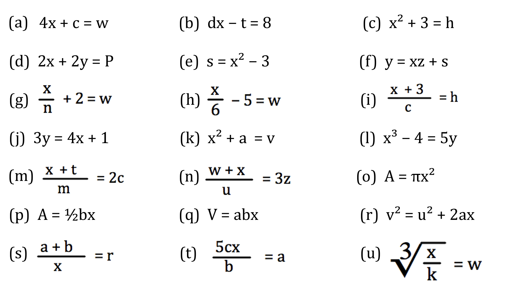
Change the subject of the equation to
x.
1 point
1
Question 1
1.
1 point
1
Question 2
2.
1 point
1
Question 3
3.
1 point
1
Question 4
4.
1 point
1
Question 5
5.
1 point
1
Question 6
6.
1 point
1
Question 7
7.
1 point
1
Question 8
8.
1 point
1
Question 9
9.
1 point
1
Question 10
10.
1 point
1
Question 11
11.
1 point
1
Question 12
12.
1 point
1
Question 13
13.
1 point
1
Question 14
14.
1 point
1
Question 15
15.
1 point
1
Question 16
16.
1 point
1
Question 17
17.
1 point
1
Question 18
18.
1 point
1
Question 19
19.
1 point
1
Question 20
20.
1 point
1
Question 21
21.