Log in
Sign up for FREE
arrow_back
Library

2023-mcq-5

star
star
star
star
star
Last updated about 3 years ago
111 questions
1
1
1
1
1
1
1
1
1
1
1
1
1
1
1
1
1
1
1
1
1
1
1
1
1
1
1
1
1
1
1
1
1
1
1
1
1
1
1
1
1
1
1
1
1
1
1
1
1
1
1
1
1
1
1
1
1
1
1
1
1
1
1
1
1
1
1
1
1
1
1
1
1
1
1
1
1
1
1
1
1
1
1
1
Question 1
1.

Question 2
2.

Question 3
3.

Question 4
4.

Question 5
5.

Question 6
6.

Question 7
7.

Question 8
8.

Question 9
9.

Question 10
10.

Question 11
11.

Question 12
12.

Question 13
13.

Question 14
14.

Question 15
15.

Question 16
16.

Question 17
17.

Question 18
18.

Question 19
19.

• Directions: Each group of questions below concerns an experimental or laboratory situation or data. In each case, first study the description of the situation or data. Then choose the one best answer to each question following it.
Achondroplastic dwarfism is a dominant genetic trait that causes severe malformation of the skeleton. Homozygotes for this condition are spontaneously aborted (hence, the homozygous condition is lethal) but heterozygotes will develop to be dwarfed.
Matthew has a family history of the condition, although he does not express the trait. Jane is an achondroplastic dwarf.Matthew and Jane are planning a family of several children and want to know the chances of producing a child with
achondroplastic dwarfism.
1
1
1
Directions: Each group of questions below concerns an experimental or a laboratory situation. In each case, first study the description of the situation. Then choose the one best answer to each question following it.
In dogs, one pair of alleles determines coat color (dark and albino). Another pair of alleles determines hair length (short and long). Thus, each gamete will contain one of the coat-color alleles, C or c and one of the hair-length alleles, B or b. In repeated crosses of a specific dark, short-haired dog with an albino, long-haired dog, all the offspring were dark with short hair, as shown in cross I. However, in subsequent crosses of another dark, short-haired dog with a dark, long-haired dog, the ratios shown in cross II below were obtained.
1
1
1
Friedreich’s ataxia is an inherited disorder. Friedreich’s ataxia is caused by an insertion mutation in a noncoding portion of the FXN gene where a GAA
triplet is repeated hundreds of times. The FXN gene encodes the protein frataxin. A pedigree of a family with members affected by this disorder is shown in Figure 1.
A researcher collected DNA from several members of the family and used PCR to amplify the FXN genes from each individual’s DNA. The researcher then used DNA gel electrophoresis to separate the DNA. The results are shown in Figure 2.
The researcher also used a computer to model the structure of the mutant FXN allele. The model suggests that the repeated GAA triplets in the mutant FXN gene may lead to the formation of an unusual triple-stranded configuration of DNA (Figure 3).
1
1
Question 28
28.

Table I shows the results of breeding experiments to examine the inheritance of flower color (purple versus white) and pod shape (inflated versus constricted). For the crosses recorded in Table I, true-breeding parents were crossed to produce
F1 offspring, which were then testcrossed to homozygous recessive individuals. Table II shows the results of computer-simulated crosses to model the inheritance of leaf shape (broad versus narrow) and flower color (purple versus white).
1
1
Question 31
31.

Question 32
32.

Question 33
33.

Question 34
34.

Question 35
35.

Question 36
36.

Dystrophin is a protein that is expressed in certain muscle cells. In combination with other cellular proteins, dystrophin strengthens protein fibers in muscle cells to allow muscles to contract without injury.
Nucleotide deletions in the gene that encodes dystrophin are associated with the genetic disorder Duchenne Muscular Dystrophy (DMD). Individuals with DMDdo not produce functional dystrophin and, as a result, the protein fibers, andthen entire muscle cells, become damaged.
The history of DMD for three generations of a family is shown in Figure 1.
Individuals Ⅲ-1 and Ⅲ-2 plan to have children and wish to first determine whether individual Ⅲ-2 is a carrier of DMD. Individual Ⅲ-2 undergoes genetic testing to determine whether individual Ⅲ-2 carries a particular allele for themutated dystrophin that is associated with the disorder in this family. The results of gel electrophoresis analysis of the individual’s dystrophin alleles and the alleles of several family members are shown in Figure 2.
1
1
Question 39
39.

Question 40
40.

Question 41
41.

Question 42
42.

Question 43
43.

Question 44
44.

Question 45
45.

For following group of questions first study the description of the situation and diagram and then choose the one best answer to each question following it and fill in the corresponding oval on the answer sheet.
The pedigree of a family with a history of a particular genetic disease is shown below. Squares represent males and circles represent females. Shaded symbols represent those who have the disease.
1
1
1
Question 49
49.

Question 50
50.

• Directions: Each of the questions or incomplete statements below is followed by four suggested answers or completions. Select the one that is best in each case and then fill in the corresponding circle on the answer sheet.
The three-spined stickleback (Gasterosteus aculeatus) is a small fish found in both marine and freshwater environments.Marine stickleback populations consist mainly of individuals with armor-like plates covering most of their body surface (completely plated). Approximately 10,000 years ago, some marine sticklebacks colonized freshwater environments. After many generations in the freshwater environments, the freshwater stickleback populations lacked the armor plating
(low plated) typical of marine stickleback populations.
Over the period between 1957 and 2005, one freshwater population, in Lake Washington, a lake in a coastal region of the northwestern United States, changed from having a majority of individuals of the low-plated phenotype to having more individuals of the completely-plated phenotype than of the low-plated phenotype. Figure 1 shows the distribution of plated
phenotypes in Lake Washington sticklebacks at four time points between 1957 and 2005.
A single gene, ectodysplasin (EDA), is thought to be responsible for the variation in the number of armor plates in sticklebacks. Figure 2 shows a phylogenetic tree constructed by comparing DNA sequences of the EDA gene from a number of stickleback populations with low-plated or completely plated phenotypes. Figure 3 shows a phylogenetic tree constructed by comparing the sequences of 25 genes that were randomly selected from the same populations as shown in
Figure 2. In both figures, shaded populations display the completely plated phenotype.
1
Question 52
52.

Question 53
53.

Question 54
54.

Directions: This group of questions consists of five lettered headings followed by a list of phrases or sentences. For each phrase or sentence, select the one heading to which it is most closely related. Each heading may be used once, more than once, or not at all.
This group of questions refers to the probabilities below.
Assume that the alleles referred to all assort independently.
(A) 0
(B) 1/16
(C) 1/4
(D) 1/2
(E) 3/4
1
1
1
1
Question 59
59.

Question 60
60.

Tay-Sachs disease is a rare inherited disorder caused by an autosomal recessive allele of the HEXA gene. Affected individuals exhibit severe neurological symptoms and do not survive to reproductive age. Individuals who inherit one copy of the allele (Tay-Sachs carriers) typically show no symptoms of the disorder. The frequencies of Tay-Sachs carriers
in the general population of North America and in three different subpopulations are presented in the table.
1
Question 62
62.

Question 63
63.

Question 64
64.

Question 65
65.

Question 66
66.

Question 67
67.

Question 68
68.

• Directions: Each group of questions below concerns an experimental or laboratory situation or data. In each case, first study the description of the situation or data. Then choose the one best answer to each question following it.
A male fruit fly (Drosophila melanogaster) with red eyes and long wings was mated with a female with purple eyes and vestigial wings. All of the offspring in the F1 generation had red eyes and long wings. These F1 flies were test crossed with purple-eyed, vestigial-winged flies. Their offspring, the F2 generation, appeared as indicated below.
1
1
Question 71
71.

Question 72
72.

Question 73
73.

Question 74
74.

Question 75
75.

Question 76
76.

Protoporphyria is a genetic disorder characterized by an extreme sensitivity to sunlight. One form of protoporphyria is caused by a mutation in the ALAS2
gene that results in the accumulation of protoporphyrin, an organic compound, in the blood, liver, and skin. The pedigree in Figure 1 shows the incidence of protoporphyria in a particular family.
1
1
Question 79
79.

Question 80
80.

Question 81
81.

Question 82
82.

Question 83
83.

Question 84
84.

Question 85
85.

Question 86
86.

Question 87
87.

Question 88
88.

Question 89
89.

Question 90
90.

Question 91
91.

Question 92
92.

Question 93
93.

Question 94
94.

Question 95
95.

Question 96
96.

Question 97
97.

A student placed 20 tobacco seeds of the same species on moist paper towels in each of two petri dishes. Dish A was wrapped completely in an opaque cover to exclude all light. Dish B was not wrapped. The dishes were placed equidistant from a light source set to a cycle of 14 hours of light and 10 hours of dark. All other conditions were the same for both
dishes. The dishes were examined after 7 days, and the opaque cover was permanently removed from dish A. Both dishes were returned to the light and examined again at 14 days. The following data were obtained.
1
A student placed 20 tobacco seeds of the same species on moist paper towels in each of two petri dishes. Dish A was wrapped completely in an opaque cover to exclude all light. Dish B was not wrapped. The dishes were placed equidistant from a light source set to a cycle of 14 hours of light and 10 hours of dark. All other conditions were the same for both
dishes. The dishes were examined after 7 days and the opaque cover was permanently removed from dish A. Both dishes were returned to the light and examined again at 14 days. The following data were obtained.
1
Question 100
100.

Question 101
101.

Question 102
102.

Question 103
103.

Question 104
104.

Question 105
105.

Question 106
106.

Question 107
107.

Question 108
108.

Question 109
109.

Question 110
110.

Question 111
111.

The diploid number of chromosomes in the cell of a domesticated dog is 78. Which of the following options includes the correct number of chromosomes in a cell after each cellular process (G2 checkpoint, meiosis, and fertilization, respectively)?
Humans have a diploid number (2n) of 46. Which of the following statements best predicts the consequence if meiosis did not occur during gametogenesis?
The gametes would get larger from one generation to the next.
The chromosome number would double with each generation.
The chromosome number would be halved with each generation.
The chromosome number would triple with each generation.
If 2n = 48 for a particular cell, then the chromosome number in each cell after meiosis would be
96
48
24
12
6
Which of the following best describes the cells that result from the process of meiosis in mammals?
They are diploid.
They can be used to repair injuries.
They are genetically different from the parent cell.
They are genetically identical to all the other cells in the body.
They are identical to each other.
All of the following are true statements about meiosis in mammals EXCEPT:
It serves as a factor in bringing about variation among offspring.
It follows DNA replication.
It occurs only in reproductive structures.
It produces cells with the haploid number of chromosomes.
It produces four genetically identical gametes.
Table 1 shows the stage and number of cells and chromosomes per cell at the end of the stage in a 2n=24 organism.
Which of the following statements correctly describes the chromosomes in each daughter cell at the end of meiosis â… ?
Each daughter cell contains 12 chromatids. Each chromatid is one of two from a single chromosome
with the other one of the pair found in the other daughter cell.
Each daughter cell contains 12 chromosomes, each composed of two chromatids. Since the
chromosomes were randomly divided, one daughter cell may contain both of a pair of homologous
chromosomes, while the other cell contains both of another pair of homologous chromosomes.
Each daughter cell contains 12 chromosomes, each composed of two chromatids. Each chromosome is
one of a pair of homologous chromosomes from the parent cell, with the other homologue found in the
other daughter cell.
Each daughter cell contains 24 separate chromatids. Since every two chromatids were originally joined,
forming one homologous chromosome, the number of chromatids is divided by two to determine the
number of chromosomes.
Both mitosis and meiosis begin with a parent cell that is diploid. Which of the following best describes how mitosis and meiosis result in daughter cells with different numbers of chromosomes?
In mitosis, the chromosomes consist of a single chromatid, which is passed to two haploid daughter
cells. In meiosis, the chromosomes consist of two chromatids during the first round of division and one
chromatid during the second round of division, resulting in two haploid daughter cells.
In mitosis, synapsis of homologous chromosomes results in four haploid daughter cells after one
division. In meiosis, synapsis of homologous chromosomes occurs during the second division and
results in four diploid daughter cells.
Mitosis produces one identical daughter cell after one round of division. Meiosis has two rounds of
division and doubles the number of chromosomes in the second round of division, producing four
diploid cells.
Mitosis produces two identical diploid daughter cells after one round of division. Meiosis produces four
haploid daughter cells after two rounds of division.
Which of the following occurs during mitosis but not during meiosis I ?
The chromosomes are pulled to opposite poles of the spindle apparatus.
The chromatids of each chromosome are separated.
The nuclear envelope breaks down.
Both synapsis and crossing-over take place.
The diploid number of chromosomes is reduced to the haploid number.
Saccharomyces cerevisiae is a diploid yeast species that can reproduce either sexually or asexually. An experiment was performed to induce mitotically dividing S. cerevisiae cells in G2 to undergo meiosis. Which of the following best describes the steps these cells will follow to form gametes?
The first division will result in crossing over between homologous chromosomes, and the second
division will reduce the original number of chromosomes by half in the daughter cells.
The first division will reduce the number of chromosomes by half for each daughter cell, and the second
division will result in each daughter cell having one-fourth of the original number of chromosomes.
The first division will move single chromatids to each daughter cell, and the second division will double
the number of chromosomes in each daughter cell.
The first division will reduce the number of chromosomes by half for each daughter cell, and the second
division will move single chromatids to each daughter cell.
Which of the following best describes the cellular process illustrated in Figure 1 ?
Sister chromatids separating during anaphase of mitosis
Chromosomes lining up along the midline of the cell during mitosis
Reducing the chromosome number during anaphase â…  of meiosis
Chromatids failing to separate during meiosis
Within a forest ecosystem, there is a large amount of diversity among members of a warbler species. Of the following stages of meiosis illustrated for a typical cell, which contributes most to diversity among the warblers?
In most vertebrates, the sperm cell normally contributes which of the following to the new organism?
Many mitochondria
Significant amounts of RNA
A haploid complement of chromosomes
Most of the cytoplasm of the zygote
Two sex chromosomes
During prophase â…  replicated homologous chromosomes pair up and undergo synapsis. What testable question is generated regarding synapsis and genetic variability by Figure 1 ?
Is the distance between two gene loci related to crossover rate?
Does crossing over occur more often in some chromosomes than in others?
Is crossing over inhibited by methylation?
Is crossing over promoted by methylation?
Scientists have found that DNA methylation suppresses crossing-over in the fungus Ascobolus immersus. Which of the following questions is most appropriately raised by this specific observation?
Is the level of genetic variation in the gametes related to the amount of DNA methylation observed?
Without crossing-over, will gametes be viable and be able to produce zygotes?
Does DNA methylation result in shorter chromosomes?
Is this species of fungus a diploid organism?
The diagram above illustrates which of the following processes?
Crossing-over
Base pair substitution
Duplication
Deletion
Posttranscriptional processing
The events listed below generally take place during meiosis.
I. Synapsis occurs.
II. Crossing-over is completed.
III. Condensation of chromosomes begins.
IV. Separation of homologous chromosomes begins.
Which of the following is the correct sequence of these events?
I, II, III, IV
II, I, III, IV
III, I, II, IV
III, IV, II, I
IV, II, III, I
A model showing two possible arrangements of chromosomes during meiosis is shown in Figure 1.
Which of the following questions about genetic diversity could most appropriately be answered by analysis of the model in Figure 1 ?
Does crossing-over generate more genetic diversity than the fusion of gametes does?
Does DNA methylation prevent independent assortment during metaphase â…¡?
How does the independent assortment of the two sets of homologous chromosomes increase genetic
diversity?
Do daughter cells that are not genetically identical to parent cells produce viable zygotes?
The process depicted in the image above is best summarized by which of the following descriptions?
During the synthesis phase of the cell cycle, DNA molecules replicate to generate identical daughter
cells.
Centromeres align specific gene sequences of homologous chromosomes during mitotic divisions.
The spindle apparatus attaches at chiasma during metaphase of mitosis.
During meiosis, crossing over leads to recombination of alleles between homologous chromosomes.
Which of the following best explains why triploid bananas do not produce seeds?
The cells of the banana plant are unable to replicate DNA, thus preventing cell division and limiting
growth.
The banana plants lack enough genetic diversity to properly hybridize.
The production of gametes is disrupted because of unequal pairing of homologous chromosomes during
meiosis.
The production of seeds is not required because triploid plants produce gametes without fertilization.
Question 20
20.

Question 21
21.

Question 22
22.

Question 23
23.

Question 24
24.

Question 25
25.

Question 26
26.

Question 27
27.

A blue-flowered African violet of unknown ancestry self-pollinated and produced 50 seeds. These seeds germinate and grow into flowering plants. Of these plants, 36 produce blue flowers and 14 produce pink flowers. What is the best explanation for the pink-flowered offspring?
Blue flowers are incompletely dominant to pink flowers.
Pink flower color is a trait recessive to blue flower color.
Pink flower color is the result of somatic mutations in the flower color gene.
A previous generation of the blue-flowered parent must have included 50 percent pinkflowered plants.
Question 29
29.

Question 30
30.

Which of the following provides the best justification for an assumption that might have been used in the computer simulation (Table II)?
The broad allele is recessive to the narrow allele because broad leaves appear in every generation.
The purple allele is dominant to the white allele because all the offspring from the cross of purple
flowered and white-flowered plants had purple flowers.
The narrow allele is codominant with the purple allele because the purple-flower trait and the narrow
leaf trait segregate together.
The white allele is dominant to both the broad and narrow alleles because plants with either type of leaf
shape can have white flowers.
In Table II, the F1 offspring of the cross between broad-leaved, white-flowered plants with narrow-leaved, purple-flowered plants have a phenotype that differs from that of either parent. However, many testcross offspring have the same phenotype as one of the two plants in the parental cross, but relatively few testcross offspring have the same phenotype as the F1 offspring. Which of the following best explains the observation?
Recombination between the leaf-shape and flower-color genes resulted in chromosomes carrying a
dominant allele of both genes.
Recombination between the broad and narrow alleles of the leaf-shape gene resulted in chromosomes
carrying three different alleles at the same genetic locus.
Independent assortment of homologous chromosomes resulted in the combinations of alleles present in
the parental generation.
The computer model cannot capture the possible assortments of gametes when multiple genes are
considered.
In pea plants, flower color and the length of the flower’s pollen grains are genetically determined. Researchers studying pea plants crossed homozygous dominant pea plants with homozygous recessive pea plants. The F1 plants were then crossed, and the number of offspring with each phenotype was recorded. The researchers’ observed data,however, differed from the expected data. The researchers did a chi-square analysis and calculated the chi-square value to be5.5.
Based on their calculation, the researchers would most likely conclude which of the following?
The genes that determine these two traits are likely on the same chromosome.
The differences between observed data and expected data are due to chance.
The genes mutated since the researchers began the experiment and now have a different inheritance
pattern.
The allele frequencies of the offspring have changed, suggesting the population is evolving.
In a certain type of chicken, the allele for gray feathers is recessive to the allele for black feathers, and the allele for a spotted pattern is recessive to the allele for a solid pattern. Chickens that are heterozygous for both traits were crossed and the phenotypes for the offspring were recorded (Table 1).
To determine whether the data are consistent with the expectations for independent assortment, students performed a chi-square analysis.
Which of the following is the closest to the calculated chi-square value for the experiment?
-0.26
0.20
0.95
1.25
In fruit flies of the genus Drosophila, the allele for vestigial wings is recessive to the allele for round wings, and the allele for brown eye color is recessive to the allele for red eye color. A scientist crossed flies that are heterozygous for both traits and determined the number of offspring with each combination of phenotypes. The scientist performed a chi-square analysis to determine if the data are consistent with the expectations for independent assortment. The chi-square calculated value for the experiment was 6.03.
Based on the chi-square calculated value, which of the following statements is most accurate?
The chi-square calculated value is greater than the chi-square critical value; therefore the null hypothesis
should be rejected.
The chi-square calculated value is greater than the chi-square critical value; therefore the null hypothesis
should not be rejected.
The chi-square calculated value is less than the chi-square critical value; therefore the null hypothesis
should be rejected.
The chi-square calculated value is less than the chi-square critical value; therefore the null hypothesis
should not be rejected.
researcher hypothesizes that, in mice, two autosomal dominant traits, trait Q and trait R, are determined by separate genes found on the same chromosome. The researcher crosses mice that are heterozygous for both traits and counts the number of offspring with each combination of phenotypes. The total number of offspring producedwas 64. The researcher plans to do a chi-square analysis of the data and calculates the expected number of mice
with each combination of phenotypes. Which of the following is the expected number of offspring that will display both trait Q and trait R?
4
12
36
48
Question 37
37.

Question 38
38.

Eye color in a particular strain of fly is influenced by one gene with two alleles: a dominant allele that results in red eyes and a recessive allele that results in sepia eyes.
A red-eyed female from a true-breeding population is mated with a sepia-eyed male. The F1 offspring are all red-eyed. The F1 flies are allowed to interbreed, producing the following in the F2 generation.
Females: 40 red eyes; 13 sepia eyes
Males: 39 red eyes; 11 sepia eyes
Which of the following best describes the likely mode of inheritance for the eye-color gene?
The eye-color gene is likely autosomal because males and females have similar phenotype ratios.
The eye-color gene is likely autosomal because more females have sepia eyes than males do.
The eye-color gene is likely sex-linked because the males and females have similar phenotype ratios.
The eye-color gene is likely sex-linked because the males and females display both phenotypes.
Assume that genes A and B are not linked. If the probability of allele A in a gamete is 1/2 and the probability of allele B in a gamete is 1/2, then the probability that both A and B are in the same gamete is
1/2 x 1/2
1/2 + 1/2
(1/2) / (1/2)
|1/2 — 1/2|
In pea seeds, yellow color (Y) is dominant to green color (y), and a round shape (R) is dominant to a wrinkled shape (r). A dihybrid cross between a true-breeding plant with yellow, round seeds (YYRR) and a true-breeding plant with green, wrinkled seeds (yyrr) results in an F1 generation of plants with yellow, round seeds. Crossing two F1 plants produces an F2 generation with approximately nine times as many plants with yellow, round seeds as
plants with green, wrinkled seeds.
Which of the following best explains these results?
The allele pairs of each parent stay together, resulting in gametes that are identical to the parents.
Gene segments on sister chromatids cross over.
Alleles that are on nonhomologous chromosomes recombine.
The genes for seed color and seed shape assort independently.
The Russian blue is a rare breed of cat that is susceptible to developing cataracts on the eyes. Scientists hypothesize that this condition is inherited as a result of a mutation. Figure 1 shows a pedigree obtained in a study of cats owned by members of the Russian Blue Club in Sweden.
Based on the inheritance pattern shown in Figure 1, which of the following best predicts the nature of the original mutation?
A recessive mutation on the X chromosome
A recessive mutation on a somatic chromosome
A dominant mutation on the X chromosome
A dominant mutation on a somatic chromosome
Insulin is a hormone produced by some pancreatic cells. Scientists have isolated the DNA sequence that codes for human insulin production.
Which of the following best predicts the effect of inserting this gene into the DNA of a bacterial cell?
The recombinant bacterium will produce human insulin using its own transcription and translation
machinery.
The recombinant bacterium will not transcribe the human insulin gene because this gene is not normally
found in the bacterial genome.
The recombinant bacterium will transcribe the gene but will be unable to translate the mRNA.
The recombinant bacterium will die because it has been exposed to foreign DNA.
In sweet pea plants, purple flower color is dominant over red flower color and long pollen grain shape is dominant over round pollen grain shape. Two sweet pea plants that are heterozygous for both flower color and pollen grain shape are crossed with one another. A geneticist is surprised to observe that there are far fewer round, purple offspring and long, red offspring than were predicted by the 9:3:3:1 expected phenotypic ratio.
Which of the following statements provides the most reasonable prediction to account for the deviation from the expected results?
In sweet pea plants, the gene for flower color and the gene for pollen grain shape are genetically linked.
In sweet pea plants, the genes for flower color and for pollen grain shape both exhibit codominance.
Several mutations occurred spontaneously producing a deviation from the expected phenotypic ratios of
the offspring.
The genes for flower color and pollen grain shape are inherited independently because of the law of
independent assortment.
Which of the following best supports the claim that organisms of different domains share a common ancestor?
Photosynthesis occurs in chloroplasts, and the citric acid cycle occurs in mitochondria.
Glycolysis occurs in both prokaryotic cells and eukaryotic cells.
Introns are present in eukaryotic DNA but not in prokaryotic DNA.
Errors in DNA synthesis provide some of the genetic variation in a population.
Question 46
46.

Question 47
47.

Question 48
48.

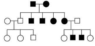
In the following human pedigree, squares represent males, circles represent females, and shaded symbols indicate individuals affected with a disorder.
One of the affected males from the third generation has a child with a female who is a carrier. For the pedigree shown above, which of the following best expresses the probability that the couple’s first son will be affected with the disorder?
25%
50%
75%
100%
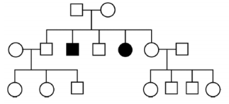
In the pedigree above, squares represent males and circles represent females. Individuals who express a particular trait are represented by shaded figures. Which of the following patterns of inheritance best explains the transmission of the trait?
Sex-linked dominant
Sex-linked recessive
Autosomal recessive
Autosomal dominant
Incompletely dominant
Question 51
51.

A student crosses a pure-breeding line of red-flowered poinsettias with a pure-breeding line of white-flowered poinsettias. The student observes that all the plants in the F1 generation have pink flowers. The student then crosses the F1 plants with one another and records observations about the plants in the F2 generation. The student will use the F2 data to perform a chi-square goodness-of-fit test for a model of incomplete dominance. The setup for the
student’s chi-square goodness-of-fit test is presented in Table 1.
The critical value for a chi-square test with a significance level of p=0.05 and 2 degrees of freedom is 5.99.
Which of the following statements best completes the student’s chi-square goodness-of-fit test?
The calculated chi-square value is 1.53, and the null hypothesis cannot be rejected.
The calculated chi-square value is 1.53, and the null hypothesis can be rejected.
The calculated chi-square value is 98, and the null hypothesis cannot be rejected.
The calculated chi-square value is 98, and the null hypothesis can be rejected.
A researcher is crossing two organisms that are heterozygous for three Mendelian, unlinked traits (XxYyZz).
Which of the following is the fraction of offspring that are predicted to have the genotype xxyyzz?
1/64
1/32
1/16
1/8
A couple has 5 children, all sons. If the woman gives birth to a sixth child, what is the probability that the sixth child will be a son?
5/6
1/2
1/5
1/6
1/64
Question 55
55.

Question 56
56.

Question 57
57.

Question 58
58.

In fruit flies, purple eyes and ebony body are traits that display autosomal recessive patterns of inheritance. In a genetics experiment, students cross wild-type flies with flies that have purple eyes and ebony bodies. The students observe that all the flies in the F1 generation have normal eyes and a normal body color. The students then allow the F1 flies to mate and produce an F2 generation. The students record observations about the flies in the F2 generation and use the data to perform a chi-square goodness-of-fit test for a model of independent assortment. The setup for the students’ chi-square goodness-of-fit test is presented in Table 1.
The students choose a significance level of p=0.01. Which of the following statements best completes the next step of the chi-square goodness-of-fit test?
The calculated chi-square value is 2.11, and the critical value is 7.82.
The calculated chi-square value is 2.11, and the critical value is 11.35.
The calculated chi-square value is 10.48, and the critical value is 7.82.
The calculated chi-square value is 10.48, and the critical value is 11.35.
In garden peas, a single gene controls stem length. The recessive allele (t) produces short stems when homozygous. The dominant allele (T) produces long stems. A short-stemmed plant is crossed with a heterozygous long-stemmed plant. Which of the following represents the expected phenotypes of the offspring and the ratio in which they will occur?
3 long-stemmed plants: 1 short-stemmed plant
1 long-stemmed plant: 1 short-stemmed plant
1 long-stemmed plant: 3 short-stemmed plants
Long-stemmed plants only
Short-stemmed plants only
Question 61
61.

In a strain of tomato plants, short plant height and small fruit size are traits that display autosomal recessive patterns of inheritance. To investigate whether the traits segregate independently, researchers cross a pure-breeding line of tall tomato plants that have large fruits with a pure-breeding line of short tomato plants that have small fruits. The researchers observe that all the plants in the F1 generation are tall and have large fruits. The researchers cross the F1 plants with one another to generate an F2 generation. The researchers record observations for the F2 generation and will use the data to perform a chi-square goodness-of-fit test for a model of independent assortment. The setup for the chi-square goodness-of-fit test is shown in Table 1.
The researchers choose a significance level of p=0.05 . Which of the following best completes the chi-square goodness-of-fit test?
The calculated chi-square value is 9.24, and the critical value is 7.82. The null hypothesis of independent
assortment can be rejected.
The calculated chi-square value is 9.24, and the critical value is 9.49. The null hypothesis of independent
assortment cannot be rejected.
The calculated chi-square value is 13.13, and the critical value is 7.82. The null hypothesis of
independent assortment can be rejected.
The calculated chi-square value is 13.13, and the critical value is 9.49. The null hypothesis of
independent assortment cannot be rejected.
In peas the trait for tall plants is dominant (T) and the trait for short plants is recessive (t). The trait for yellow seed color is dominant (Y) and the trait for green seed color is recessive (y). A cross between two plants results in 296 tall yellow plants and 104 tall green plants. Which of the following are most likely to be the genotypes of the parents?
TTYY x TTYY
TTyy x TTYy
TtYy x TtYy
TtYy x TTYy
TtYY x Ttyy
The data above represent the results of three different crosses involving the inheritance of a gene that determines hether a certain organism is blue or white. Which of the following best explains the mechanism of inheritance of the gene?
The allele for white is an autosomal dominant allele because a 1:1 phenotype ratio of blue to white
among both sexes is observed in cross 3.
The allele for blue is an autosomal dominant allele because an approximate 3:1 phenotype ratio of
blue to white is observed in cross 1.
The allele for white is an X-linked dominant allele because no white females are produced in cross 1
The allele for blue is an X-linked dominant allele because there are no blue male offspring in cross 2.
A gene that influences coat color in domestic cats is located on the X chromosome. A female cat that is heterozygous for the gene (XBXO) has a calico-colored coat. In a genetics experiment, researchers mate a calico-colored female cat (XBXO) with an orange-colored male cat (XOY) to produce an F1 generation. The researchers record observations for the cats in the F1 generation and plan to use the data to perform a chi-square goodness-of-fit test for a model of X-linked inheritance. The data for the chi-square goodness-of-fit test are presented in Table 1.
The researchers calculate a chi-square value of 4.6 and choose a significance level of p=0.05. Which of the following statements best completes the chi-square goodness-of-fit test?
The null hypothesis can be rejected because the chi-square value is greater than the critical value.
The null hypothesis can be rejected because the chi-square value is less than the critical value.
The null hypothesis cannot be rejected because the chi-square value is greater than the critical value.
The null hypothesis cannot be rejected because the chi-square value is less than the critical value.
A researcher observes that when two heterozygous plants with red flowers are crossed, the resulting offspring include plants with red, white, or pink flowers. The researcher proposes the null hypothesis that flower color is the result of independent assortment and incomplete dominance. The researcher calculates a chi-square value of 7.3. Assuming two degrees of freedom, which of the following is the correct interpretation of the chi-square analysis,
using a -value of 0.05?
The null hypothesis should be rejected because the critical value is less than the calculated value.
The null hypothesis should not be rejected because the critical value is less than the calculated value.
The null hypothesis should not be rejected because the critical value is greater than the calculated value.
The null hypothesis should be rejected because the critical value is greater than the calculated value.
A scientist is investigating the possibility that two traits in a particular plant are determined by genes that are on the ame chromosome. The scientist crossed a plant that is homozygous dominant for both traits with a plant that is homozygous recessive for both traits. The heterozygous offspring in the F1 generation were then crossed with a plant that is homozygous recessive for both traits. The results expected if the genes independently assort and the observed results are presented in the table.
Which of the following critical values should the scientist use for the chi-square analysis of the data?
3.00
3.84
7.81
8.00
A series of crosses is performed with fruit flies (Drosophila melanogaster) to examine inheritance of the genes vestigial (vg) and cinnabar (cn). The recessive vg allele causes small, malformed wings called vestigial wings. The recessive cn allele causes bright-red eyes called cinnabar eyes.
In the first cross, a female with wild-type wings and eyes is mated with a male with vestigial wings and cinnabar eyes. All the F1 individuals have wild-type wings and eyes. In the second cross, female F1 flies are mated with males with vestigial wings and cinnabar eyes. The phenotypes of 500 F2 individuals are shown in the table
Which of the following is the most likely explanation of the results?
The two genes are located on two different chromosomes.
The two genes are sex-linked.
The two genes are located on mitochondrial DNA.
The two genes are linked on an autosome.
Question 69
69.

Question 70
70.

A student in a biology class crossed a male Drosophila melanogaster having a gray body and long wings with a female D. melanogaster having a black body and apterous wings. The following distribution of traits was observed in the offspring.
Which of the following is supported by the data?
The alleles for gray body and long wings are dominant.
The alleles for gray body and long wings are recessive.
Genes for the two traits are located on two different chromosomes, and independent assortment
occurred.
Genes for the two traits are located close together on the same chromosome, and crossing over occurred
between the two gene loci.
In sheep, eye color is controlled by a single gene with two alleles. When a homozygous brown-eyed sheep is crossed with a homozygous green-eyed sheep, blue-eyed offspring are produced. If the blue-eyed sheep are mated with each other, what percent of their offspring will most likely have brown eyes?
0%
25%
50%
75%
100%
Eye pigment in a particular strain of fly is determined by two genes. An autosomal gene that controls the color of the pigments in the eye has two alleles: a dominant allele (R) that results in red eyes and a recessive allele (r) that results in sepia eyes. A sex-linked gene that controls the expression of the colored pigments also has two alleles: a dominant allele (T) that allows for expression of the colored pigments and a recessive allele (t) that does not allow for expression of the colored pigments. Individuals without a T allele have white eyes regardless of the alleles of other eye-color genes.
Which of the following represents a cross between a white-eyed female and a red-eyed male?
TtXRXR X ttXrY
TtXrXr X ttXRY
RRXTXT X RrXTY
RrXtXt X RrXTY
In the pedigree above, circles represent females, squares represent males, and shaded figures represent individuals expressing a specific trait. The expression of this trait is most likely due to which of the following?
Sex-linked dominant inheritance
Sex-linked recessive inheritance
Autosomal dominant inheritance
Autosomal recessive inheritance
A codominant relationship of a single pair of alleles
The relative location of four genes on a chromosome can be mapped from the following data on crossover frequencies
Which of the following represents the relative positions of these four genes on the chromosome?
ABCD
ADCB
CABD
CBAD
DBCA
Which of the following best describes the hydrolysis of carbohydrates?
The removal of a water molecule breaks a covalent bond between sugar monomers.
The removal of a water molecule forms a covalent bond between sugar monomers.
The addition of a water molecule breaks a covalent bond between sugar monomers.
The addition of a water molecule forms a covalent bond between sugar monomers
Question 77
77.

Question 78
78.

Figure 1 shows the inheritance of a particular genetic condition in three generations of one family. Which of the following best explains the observed pattern of inheritance?
The condition is passed randomly because of the independent assortment of chromosomes.
The condition is passed from fathers to sons via a Y-linked gene.
The condition is passed from mothers to sons via an X-linked gene.
The condition is passed from mothers to offspring via a mitochondrial gene.
Gregor Mendel’s pioneering genetic experiments with pea plants occurred before the discovery of the structure and function of chromosomes. Which of the following observations about inheritance in pea plants could be explained only after the discovery that genes may be linked on a chromosome?
Pea color and pea shape display independent inheritance patterns.
Offspring of a given cross show all possible combinations of traits in equal proportions.
Most offspring of a given cross have a combination of traits that is identical to that of either one parent
or the other.
Recessive phenotypes can skip a generation, showing up only in the parental and F2 generations.
The fertilization of ovules from plant Q by pollen from plant R results in the production of seeds. What percent of the genes in each offspring’s chloroplasts will have been inherited from plant R?
0%
25%
50%
100%
In order to determine the effects of age on the accumulation of mitochondrial mutations, mitochondrial DNA samples from young mice (3 months) and old mice (30 months) were observed for mutations.
Which of the following is a correct analysis of this data set?
There is an increase in the mean number of mutations for the two age groups of 9.0 mutations per 106
base pairs. This is more critical in male mammals since mitochondria are paternally inherited.
There is an increase in the mean number of mutations for the two age groups of 9.0 mutations per 106
base pairs. This is more critical in female mammals since mitochondria are maternally inherited.
There is an increase in the mean number of mutations for the two age groups of 9.2 mutations per 106
base pairs. This is more critical in male mammals since mitochondria are paternally inherited.
There is an increase in the mean number of mutations for the two age groups of 9.2 mutations per 106
base pairs. This is more critical in female mammals since mitochondria are maternally inherited.
An experiment was performed to determine the mode of inheritance of two mouse genes, one for fur color and one for fur length. It is known that black fur (B ) is dominant over white fur (b ) and that long fur (L ) is dominant over short fur (l ). To determine how the genes are inherited, a cross was performed between two true-breeding mice, one with long black fur and one with short white fur. Their progeny, the F1 generation, all had long black fur. Five F1
male-female pairs were then crossed with one another. The F2 generation phenotypes for each cross are shown in Table 1.
Which of the following is the mean number per cross of F2 generation offspring that are the result of crossing over?
1
2.2
2.4
5.8
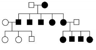
The pedigree below shows the inheritance of a dominant allele of a gene in a family over several generations.
Circles represent females and squares represent males. Shaded symbols indicate individuals carrying the allele.
The pedigree suggests that the gene is on a nuclear chromosome, and not on mitochondrial DNA, because
mitochondrial genes are not heritable
mitochondrial mutations cannot produce dominant traits
maternal mitochondrial mutations are inherited by all of a mother’s offspring
mitochondrial DNA is circular, whereas chromosomal DNA is linear
Pigeons demonstrate ZW sex determination, such that a ZZ genotype produces a male and a ZW genotype produces a female. The gene for feather color is located on the Z chromosome, and the red allele is dominant over the brown allele. Three crosses between brown male pigeons and red female pigeons were performed, and the results are shown below.
Which of the following is the mean number of male offspring produced by the three crosses?
27
20
11
9
In humans, red-green color blindness is a sex-linked recessive trait. If a man and a woman produce a color-blind son, which of the following must be true?
The father is color-blind.
Both parents carry the allele for color blindness.
Neither parent carries the allele for color blindness.
The father carries the allele for color blindness.
The mother carries the allele for color blindness.
In fruit flies, sepia eyes and ebony body are traits that display autosomal recessive patterns of inheritance. To investigate whether the traits are genetically linked, students cross wild-type flies with a line of flies that have sepia eyes and ebony bodies. The students observe that all the flies in the F1 generation have normal eyes and normal bodies. The students allow the flies in the F1 generation to mate and produce an F2 generation. The students then record observations for the flies in the F2 generation and use the data to perform a chi-square goodness-of-fit test for a model of independent assortment. The setup for the chi-square goodness-of-fit test is presented in Table 1.
The students calculate a chi-squared value of 92.86 and compare it with a critical value of 7.82. Which of the following best completes the chi-square goodness-of-fit test?
The null hypothesis cannot be rejected, and the students should conclude that the data fit a model of
independent assortment.
The null hypothesis cannot be rejected, and the students should conclude that the data may have resulted
from genetic linkage.
The null hypothesis can be rejected, and the students should conclude that the data fit a model of
independent assortment.
The null hypothesis can be rejected, and the students should conclude that the data may have resulted
from genetic linkage.
A student carries out a genetics experiment with fruit flies to investigate the inheritance pattern of the white eye trait. The student crosses a homozygous white-eyed female with a wild-type male and records observations about the flies in the F1 generation. The student plans to use the F1 data to perform a chi-square goodness-of-fit test for a model based on an X-linked recessive pattern of inheritance. The student will use one degree of freedom and a
significance level of p=0.05. The setup for the student’s chi-square goodness-of-fit test is presented in Table 1.
The student calculates a chi-square value of 0.36. Which of the following statements best completes the student’s chi-square goodness-of-fit test?
The critical value is 0.05, and the student cannot reject the null hypothesis.
The critical value is 0.05, and the student can reject the null hypothesis.
The critical value is 3.84, and the student cannot reject the null hypothesis.
The critical value is 3.84, and the student can reject the null hypothesis.
In Drosophila melanogaster the allele for wild-type tan body color (B) is dominant to the recessive allele for black body color (b) . Similarly, the allele for wild-type wing shape (V)
is dominant to the recessive allele for vestigial wing phenotype (v). In the cross diagrammed above, the expected and observed results are shown. Which of the following best explains the observed results of the cross?
The alleles for body color and wing shape assort independently, as predicted by Mendel’s laws.
The genes for body color and wing shape are located close to each other on the same chromosome.
The traits of body color show complete dominance over the traits of wing shape.
The observed variations in body color and wing shape are detectable in males but not in females
A culture of white-eyed fruit flies (Drosophila melanogaster) was maintained for many generations. Females from the stock white-eyed culture were crossed with red-eyed (wild-type) males. The F1 females were crossed with the white-eyed males from the original culture. The resulting phenotypes of the progeny are summarized below.
There are white-eyed females in the F2 generation because
white is a dominant allele
the white allele is autosomal
a mutation has occurred
these F2 females have two white alleles
the white allele is located on the Y chromosome
The tiny blue-eyed Mary flower is often one of the first flowers seen in the spring in some regions of the United States. The flower is normally blue, but sometimes a white or pink flower variation is found.
The following data were obtained after several crosses.
Which of the following statements best explains the data?
The appearance of blue in the F1 generation of the pink and white cross demonstrates that flower color is
not an inherited trait but is determined by the environment.
Flower color depends on stages of flower development, and young flowers are white, advancing to pink
and then blue.
Since the F1 and F2 phenotypes of the pink and white cross do not fit the expected genotypic and
phenotypic ratios, blue-eyed Mary must reproduce by vegetative propagation.
Flower color is an inherited trait, and the F1 and F2 phenotypes of the flowers arising from the pink and
white cross can best be explained by another gene product that influences the phenotypic expression.
The tiny blue-eyed Mary flower is often one of the first flowers seen in the spring in some regions of the United States. The flower is normally blue, but sometimes a white or pink flower variation is found.
The following data were obtained after several crosses.
Which of the following statements best explains the data?
The appearance of blue in the F1 generation of the pink and white cross demonstrates that flower color is
not an inherited trait but is determined by the environment.
Flower color depends on stages of flower development, and young flowers are white, advancing to pink
and then blue.
Since the F1 and F2 phenotypes of the pink and white cross do not fit the expected genotypic and
phenotypic ratios, blue-eyed Mary must reproduce by vegetative propagation.
Flower color is an inherited trait, and the F1 and F2 phenotypes of the flowers arising from the pink and
white cross can best be explained by another gene product that influences the phenotypic expression.
A culture of white-eyed fruit flies (Drosophila melanogaster) was maintained for many generations. Females from the stock white-eyed culture were crossed with red-eyed (wild-type) males. The F1 females were crossed with the white-eyed males from the original culture. The resulting phenotypes of the progeny are summarized below.
Which of the following best describes the mode of inheritance of eye color in the white culture?
Autosomal
Dominant
Located on the Y chromosome
Sex-linked
Lethal
An African violet grower observes that genetically identical African violet plants growing near the walls of the greenhouse have white flowers, that plants growing farther away from the walls have pale blue flowers, and that plants growing nearest the center of the greenhouse have dark blue flowers.
Which of the following best explains the differences in flower color of the African violets in the greenhouse?
Warmer temperatures result in genotypic alterations, which result in flower color differences.
The plants along the walls of the greenhouse are homozygous recessive and therefore have white
flowers.
An enzyme responsible for flower color does not fold correctly in cooler temperatures, and the
greenhouse is warmest in the center.
More light is available along the walls of the greenhouse, so the flowers need less pigment to absorb
sunlight for photosynthesis.
Butterflies of the genus Colias live in the Rocky Mountains, where they experience a wide range of temperatures. Different variants of a particular glycolytic enzyme in the flight muscles are optimally active at different temperatures. Within the same population, some individual butterflies fly most effectively at 29°C , while others fly most effectively at 40°C. Still others can be equally active at both temperatures. Which of the following claims is
most consistent with the observed butterfly behavior?
Butterflies that express two variants of the enzyme are active over a greater range of temperature.
Butterflies that are active over a wide range of temperatures produce greater amounts of the enzyme.
Temperature has little effect on the activity of butterflies.
Butterflies that are active at warmer temperatures produce more offspring.
A scientist studying phenotypic variation in a species of butterfly observed that genetically identical caterpillars grown in similar cages but exposed to different colored lights developed into butterflies with differences in wing color and body size, as shown in Table 1.
Which of the following best explains the cause of the phenotypic variation observed in the butterflies?
Different mutations occurred in the caterpillars that were exposed to different colors of light.
The energy used to grow a larger body results in butterflies with lighter colored wings.
Individual caterpillars evolved adaptations to survive in each of the light conditions they were exposed
to.
There was differential gene expression of wing color and body size in response to the colors of light the
caterpillars were exposed to.
Researchers investigated whether time of day affects the rate at which certain mRNAs produced by plants are broken down. At either 1 hour after the start of the light period (morning) or 8 hours after the start of the light period (afternoon), the researchers treated identical plant seedlings with a compound that blocks transcription (time=0min). The researchers measured the percent remaining of two mRNAs, mRNA G and mRNA H,
over the course of 120 minutes. The data are shown in Figure 1.
Based on the data, which of the following best describes the relationship between light and the degradation of mRNA G and mRNA H?
Exposure to light causes the degradation of both mRNA G and mRNA H.
mRNA G and mRNA H degrade at the same rate during morning exposure to light.
A longer exposure to light increases the rate of mRNA G degradation but not of mRNA H degradation.
Exposure to more-intense afternoon light causes both mRNA G and mRNA H to degrade more
rapidly in the afternoon than in the morning.
Question 98
98.

Question 99
99.

Hydrangea flowers differ in color based on interactions between a pigment in the flower cells and aluminum ions dissolved in water absorbed from the soil. When aluminum ions are present, the pigment is blue; when aluminum ions are absent, the pigment is pink. The amount of aluminum ions the plant can absorb is dependent on the pH of the soil.
Which of the following questions will best help a researcher design an experiment to learn about the relationship between hydrangea flower color, aluminum, and pH?
How do aluminum-pigment interactions change the structure of the pigment and flower color?
Can the pigment be used as an indicator of pH, because flower color depends on pH and aluminum?
Does an increase in hydrogen ion concentration affect the ability of the pigment to dissolve in water?
What will be the flower color of hydrangeas grown in soils of varying pH with or without aluminum?
In the spring and summer, the fur of an arctic fox contains a pigment called melanin that gives the fox’s fur a dark color. In the fall and winter, the fur of the arctic fox is white.
Which of the following most likely explains how the changing seasons result in changing fur color in an arctic fox?
Environmental factors cause changes in gene expression, resulting in seasonal variations in pigment
production.
Environmental factors cause different mutations in DNA during different seasons, resulting in seasonal
changes in fur phenotype.
Environmental factors cause proteins to be translated using different genetic codes during different
seasons, resulting in variations in pigment production.
Environmental factors cause enzymes to react with different substrates, resulting in the accumulation of
different pigments.
Australian dragon lizards have a ZW sex-determination system. The male genotype is homogametic (ZZ), and the female genotype is heterogametic (ZW). However, all eggs incubated at temperatures above 32°C tend to develop into females.
Which of the following best explains how the development of phenotypic female Australian dragon lizards with a ZZ genotype occurs when incubation temperatures are above 32°C?
Lizard embryos with a ZZ genotype cannot develop at temperatures above 32°C.
At incubation temperatures above 32°C, Z chromosomes are mutated into W chromosomes.
At incubation temperatures above 32°C, crossing over transfers genes from the W chromosome to the Z
chromosome, producing females.
Incubation temperatures above 32°C inhibit the genes on the Z chromosome that produce proteins
necessary for male development.
Some green sea turtle females deposit their eggs in nests that are dug on warm, tropical beaches. Researchers have studied the effects of temperature on the hatching rate and the proportion of female to male hatchlings produced at different average nest temperatures in Suriname (Figure 1). At temperatures below 23°C or above 33°C, the eggs do not develop.
Which of the following best describes the results shown in Figure 1 ?
The percentage of hatchlings that survive to adulthood is directly proportional to average nest
temperature.
Female sea turtles search for cooler beaches in order to have more male offspring.
Warmer nests produce more female sea turtles than do cooler nests.
The sex ratio of sea turtles is genetically determined.
Red-green color blindness in humans is caused by a recessive allele located on the X
chromosome. Figure 1 shows the potential offspring of a female who is red-green color-blind and a male with full-color vision. All of the possible male offspring would be color-blind, and all of the possible female offspring would have full-color vision.
If during the production of male gametes an error in meiosis occurred, sperm containing both an X and a Y chromosome could be produced.
How would the extra chromosome affect the male offspring produced by the gamete?
None of the potential offspring would be male, because the potentially male zygote would have two X
chromosomes, and the Y chromosome would be ignored.
The male offspring would all be red-green color-blind, because of interference from alleles on the Y
chromosome.
The male offspring would have full-color vision, because of the presence of the extra X chromosome.
There would be no change to the phenotypes of the possible offspring, because the extra X chromosome
would not be active.
A genetic counselor is consulted by a young man who is worried about developing Huntington’s disease, an inherited disorder caused by a dominant allele of a single gene. The young man explains that his cousin was recently diagnosed with Huntington’s disease, and the news has caused him to consider his own risk of developing the disorder. Which of the following questions will best help the genetic counselor to evaluate the risk of the young
man developing Huntington’s disease and transmitting it to his children?
Were you and your cousin born in the same geographical area?
Were your parents or grandparents ever diagnosed with Huntington’s disease?
Were you in physical contact with a person diagnosed with Huntington’s disease?
Were you ever exposed to substances that are suspected of being mutagens?
Which of the following occurs in all species of living organisms and may lead to an increase in genetic variation?
Mutations in the genome
Crossing-over in meiosis
Random assortment of chromosomes
Alternative splicing of mRNA
The diagram above depicts a karyotype of an individual human. Which of the following statements concerning the karyotype in the diagram is true?
The diagram illustrates a genetic condition found in females.
The diagram indicates a mechanism for increasing genetic diversity in subsequent generations.
The diagram illustrates the results of nondisjunction during gamete formation.
The diagram indicates Down syndrome, a genetic condition.
Figure 1 illustrates the X and Y chromosomes during meiosis I and meiosis II of normal spermatogenesis in a mammal species.
If the normal spermatogenesis is disrupted, the gametes can have different chromosomes than expected. Which of the following is the most likely cause of one of the four gametes having two X chromosomes and one having neither an X nor a Y chromosome?
Nondisjunction of the chromosomes during meiosis I
Nondisjunction of both the X and Y chromosomes during meiosis II
Nondisjunction of the Y chromosome during meiosis II
Nondisjunction of the X chromosome during meiosis II
Based on the pedigree in Figure 1, which of the following best explains the observed pattern of inheritance?
The trait is autosomal dominant, because the cross between individuals I-3 and I-4 produced an affected
offspring.
The trait is autosomal recessive, because the cross between individuals I-1 and I-2 produced an affected
offspring.
The trait is sex-linked dominant, because the cross between individuals II-5 and II-6 produced an
affected male.
The trait is sex-linked recessive, because the cross between individuals II-2 and II-3 produced an
affected female.
Trisomy 21 is a condition in which a child is born with an extra chromosome in pair 21. Researchers assessed the frequency of children born with trisomy 21 by age of the mothers at birth (maternal age) and primary cause of the error leading to trisomy 21. The findings are presented in Figure 1.
Based on the data in Figure 1, which of the following is most likely the primary cause of the pattern of frequency of trisomy 21 births in the selected maternal age-groups?
At older maternal ages, there is an increase in the number of errors during mitosis, which leads to an
increase in nondisjunction during egg production.
The incidence of nondisjunction errors in meiosis during sperm production is positively correlated with
increasing maternal age.
At older maternal ages, the incidence of errors in meiosis during egg production increases, which leads
to an increase in nondisjunction.
Errors in meiosis leading to nondisjunction are more likely to occur during meiosis than during
meiosis II.
A spermatocyte produces the following four sperm cells.
These cells are the result of nondisjunction during which of the following phases?
Interphase (G1 or G2)
Interphase (S)
Mitosis
Meiosis I
Meiosis II
The genotypes of Matthew and Jane are best represented as
The probability that Matthew and Jane’s first child will be an achondroplastic dwarf is
0%
25%
50%
75%
100%
If three children are born to Matthew and Jane, what are the chances that the first two children will not express the
trait but that the third child will be an achondroplastic dwarf?
5/8
4/8
3/8
1/8
1/16
In cross II, the genotype of the dark, short-haired parent is
CcBb
ccbb
CCBB
CCbb
ccBB
Which of the following is probably the genotype of the dark, short-haired parent in cross I?
CcBb
ccbb
CCBB
CCbb
ccBB
Which of the following correctly describes the relationship of the dark-coat-color allele to the albino condition?
It is dominant.
It is recessive.
It is codominant.
It is a polygenic inheritance pattern.
The alleles are linked.
Based on the data in Figure 1, which of the following best describes the inheritance pattern of Friedreich’s ataxia?
Autosomal recessive
Autosomal dominant
Sex-linked recessive
Sex-linked dominant
The probability that individual Ⅲ-5 will develop Friedreich’s ataxia is closest to which of the following?
0%
25%
50%
75%
Based on the data in Table I, which of the following best explains why there are no individuals with constricted
pods in the F1 generation?
Inflated pod shape is dominant to constricted pod shape.
The inflated-pod offspring in the F1 generation are homozygous.
Constricted pod shape typically arises from a new mutation in the F1 generation.
The constricted-pod offspring are carriers for the inflated pod shape allele.
In Table I, the ratio of phenotypes in the offspring from the testcross with F1 plants that had purple flowers and
inflated pods suggests that the genes for flower color and pod shape are located (A) close together on the same autosome
close together on the same autosome
on the X chromosome
on different chromosomes
on a mitochondrial chromosome
Based on the information provided in Figures 1 and 2, which of the following best describes the chances of individuals and â…¢-1 and â…¢-2 passing on the mutant dystrophin allele and/or DMD disorder to their offspring?
There is a 50% chance that an XY child will have DMD.
There is a 25% chance that an XY child will have DMD.
There is a 0% chance that any of the children will have the disorder or be carriers of the mutant allele.
There is a 0% chance that an XY child will haveDMD but a 50% chance that an XX child will be a carrier of the mutant allele.
Based on the information provided, which of the following describes the most likely pattern of inheritance for the disorder?
Autosomal recessive
Autosomal dominant
X-linked recessive
Mitochondrial
Which of the following is the most likely mode of inheritance for the disease?
Codominance
Autosomal dominant
Autosomal recessive
Sex-linked dominant
Sex-linked recessive
If Individual 2 were to marry a woman with no family history of the disease, which of the following would most
likely be true of their children?
All of the children would have the disease.
None of the children would have the disease.
Only the sons would have the disease.
All of the sons would be carriers of the disease.
None of the daughters would be carriers of the disease.
If Individual 6 marries a woman with the disease, what is the probability that their first child will have the disease?
0
25%
50%
75%
100%
A completely-plated stickleback from a marine population was mated to a low-plated stickleback from a freshwater
population. The resulting F1 hybrids all displayed a completely plated phenotype. When the F1 hybrids were
allowed to interbreed, the resulting F2 generation included completely plated offspring and low-plated offspring in
an approximate 3:1 ratio. Which of the following conclusions is best supported by the results of the breeding experiments?
Phenotypic variation in the F2 generation suggests that armor morphology is controlled by many alleles of a single gene.
The completely-plated phenotype is controlled by a dominant allele of a single gene.
Armor loss is an acquired characteristic that is affected by one or more environmental factors.
Patterns of armor plating in stickleback populations are regulated by sex-specific signals.
Probability that the genotype Aa will be produced by the parents Aa x Aa
0
1/16
1/4
1/2
3/4
Probability that the genotype ccdd will be produced by the parents CcDd x CcDd
0
1/16
1/4
1/2
3/4
Probability that the genotype Rr will be produced by the parents Rr x rr
0
1/16
1/4
1/2
3/4
Probability that the genotype TTSs will be produced by the parents TTSs x TtSS
0
1/16
1/4
1/2
3/4
Which of the following pedigrees most accurately represents a family with a history of Tay-Sachs disease?
If in the F1 and F2 generations the same characteristics appeared in both males and females, it would be safe to
assume that these traits for eye color and wing length
are sex-linked
vary in dominance according to sex
are sex-influenced characteristics
are autosomal characteristics
follow the Mendelian rule of independent assortment
In the F2 generation, the results are best explained by the fact that
the test cross with the F1 flies resulted in sterile offspring
these genes for eye color and wing shape do not pass through the F1 generation
these genes for eye color and wing shape are found on the same chromosome
crossing-over decreases variability
the genes are sex-linked
Which of the following best describes the genotype of the individual identified with an asterisk in the pedigree in
Figure 1 ?
Two dominant ALAS2 alleles
Two recessive ALAS2 alleles
One dominant ALAS2 allele and one recessive ALAS2 allele
One recessive ALAS2 allele and no second allele for the ALAS2 gene
Which of the following best describes the inheritance pattern illustrated in Figure 1 ?
Protoporphyria has an autosomal recessive inheritance pattern.
Protoporphyria has an X-linked dominant inheritance pattern.
Protoporphyria has an X-linked recessive inheritance pattern.
Protoporphyria has a mitochondrial inheritance pattern.
Which of the following best supports the hypothesis that the difference in leaf color is genetically controlled?
The number of yellow-leaved seedlings in dish A on day 7
The number of germinated seeds in dish A on days 7 and 14
The death of all the yellow-leaved seedlings
The existence of yellow-leaved seedlings as well as green-leaved ones on day 14 in dish B
Which of the following best supports the hypothesis that the difference in leaf color is genetically controlled?
The number of yellow-leaved seedlings in dish A on day 7
The number of germinated seeds in dish A on days 7 and 14
The death of all the yellow-leaved seedlings
The existence of yellow-leaved seedlings as well as green-leaved ones on day 14 in dish B