Log in
Sign up for FREE
arrow_back
Library
[AP Calculus BC] Ch 10 Review Questions
By Oliver Khamky
star
star
star
star
star
Share
share
Last updated about 2 years ago
30 questions
Add this activity
1
1
1
1
1
1
1
1
1
1
1
1
1
1
1
1
1
1
1
1
1
1
1
1
1
1
1
1
1
1
Skill 10-1
Determine Convergence using specific tests (the test to use will be indicated in advance)
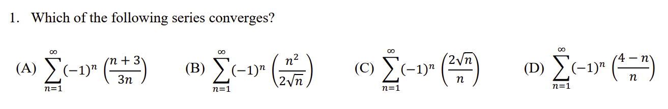
Question 1
1.
A
B
C
D
Question 2
2.
Answer as a fraction (the value of the term as n->infinity)
Question 3
3.
Converges
Diverges
Question 4
4.
A
B
C
D
Question 5
5.
Converges
Diverges
Question 6
6.
I
II
III
Question 7
7.
A
B
C
D
Question 8
8.
I
II
III
Question 9
9.
Question 10
10.
A
B
C
D
Question 11
11.
A
B
C
D
Question 12
12.
I
II
III
Question 13
13.
Converges
Diverges
Question 14
14.
A
B
C
D
Skill 10-2
Determine Convergence using your wits (the correct test(s) will not be indicated to you)
Question 15
15.
A
B
C
D
Question 16
16.
Question 17
17.
I
II
III
Question 18
18.
I
II
III
Question 19
19.
A
B
C
D
Question 20
20.
A
B
C
D
Question 21
21.
I
II
III
Question 22
22.
Skill 10-3
Determining Absolute and Conditional convergence
Question 23
23.
Converges Absolutely
Converges Conditionally
Diverges
Question 24
24.
A
B
C
D
Question 25
25.
I
II
III
Question 26
26.
I
II
III
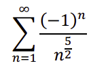
Question 27
27.
Determine whether the series converges absolutely, converges conditionally, or diverges
Converges Absolutely
Converges Conditionally
Diverges
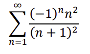
Question 28
28.
Determine whether the series converges absolutely, converges conditionally, or diverges
Converges Absolutely
Converges Conditionally
Diverges
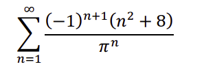
Question 29
29.
Determine whether the series converges absolutely, converges conditionally, or diverges
Converges Absolutely
Converges Conditionally
Diverges
Question 30
30.
Determine whether the series converges absolutely, converges conditionally, or diverges
Converges Absolutely
Converges Conditionally
Diverges