Log in
Sign up for FREE
arrow_back
Library
Quiz 1 - Polynomial Quiz
By Katherine Kisby
star
star
star
star
star
Share
share
Last updated over 1 year ago
11 questions
Add this activity
2
2
2
2
2
2
3
3
3
3
4
Level 2
Question 1
1.
Identify all of the monomials below
Question 2
2.
Write the following polynomial in standard form.
Question 3
3.
Question 4
4.
Simplify the following polynomial:
visibility
View drawing
Question 5
5.
Find the sum:
visibility
View drawing
Question 6
6.
Find the difference:
visibility
View drawing
Level 3
Question 7
7.
Find the Product
Question 8
8.
Find the Product:
Question 9
9.
Find the product:
visibility
View drawing
Question 10
10.
Pretend that the figure below is a perfect square. Find the perimeter of that square.
visibility
View drawing
Level 4
Question 11
11.
visibility
View drawing
2n+4
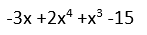
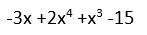
Classify the following polynomial by degree and the number of terms.
constant
linear
quadratic
cubic
quartic
monomial
binomial
trinomial
polynomial