Log in
Sign up for FREE
arrow_back
Library

DoDEA 4th Grade Unit 5 Week 3 Quiz Version B

star
star
star
star
star
Last updated about 3 years ago
9 questions
Note from the author:
2
4.NF.4
Required
2
4.NF.3
Required
3
4.NF.4
Required
4
4.NF.6
Required
1
4.NF.4
Required
1
4.NF.4
Required
1
4.NF.4
Required
3
4.NF.6
Required
3
4.NF.7
DoDEA 4th Grade Math Unit 5 Weekly Check for standards taught prior to week 3. Standards 4.NF.3, 4.NF.4, 4.NF.6, 4.NF.7 Used for progress monitoring as a collaborative, common assessment. Using released items and exemplars from the framework.
Standards: 4.NF.3, 4.NF.4, 4.NF.6, 4.NF.7.
Question 1
1.

Question 2
2.

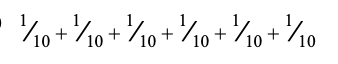
An expression is shown.
Which two expressions have the same value?

Question 3
3.
What is the missing number?
a) 6 x_______ = 6/12
b) 9 x _______ = 9/18
c) 2/4 =1/4 x _______
Question 4
4.
What is the value in decimal form?
a). 7/10 = _______
b). 7/100 = _______
c). 70/10 = _______
d). 70/100 = _______
Question 5
5.

Draw a model to show 3 x 2/3

Question 6
6.

What is the product of 3 x 2/3?

Question 7
7.

Write a multiplication equation using a unit fraction to represent the product 3 x 2/3

Question 8
8.

Select the three fractions equivalent to 7.2

Question 9
9.