Problems for Practice (optional)
star
star
star
star
star
Last updated almost 3 years ago
30 questions
1
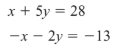
What is the solution to the systems of equations shown above?
What is the solution to the systems of equations shown above?
1
What is the solution to the systems of equations shown above?
What is the solution to the systems of equations shown above?
1
Which set of equations would have infinitely many solutions?
Which set of equations would have infinitely many solutions?
1
Is (2, 3) a solution to the system of equations below? Show Work AND Explain your answer.x + y = 5-2x + 3y = 9
Is (2, 3) a solution to the system of equations below? Show Work AND Explain your answer.
x + y = 5
-2x + 3y = 9
1
Solve the system of equations. Show all work. y = 2x - 4 x = 5
Solve the system of equations. Show all work.
y = 2x - 4
x = 5
1
Solve the system of equations. Show all work. 2x + 3y = 10 y = 4
Solve the system of equations. Show all work.
2x + 3y = 10
y = 4
1
Solve the system of equations. Show all work. x + 2y = 14 y = 3x - 7
Solve the system of equations. Show all work.
x + 2y = 14
y = 3x - 7
1
Solve the system of equations. Show all work. 4x + 2y = -18 x = y + 3
Solve the system of equations. Show all work.
4x + 2y = -18
x = y + 3
1
Solve the system of equations. Show all work.y = 4x + 3y = -x - 2
Solve the system of equations. Show all work.
y = 4x + 3
y = -x - 2
1
Is there a solution? If so, what type? Is this consistent or inconsistent?
Is there a solution? If so, what type? Is this consistent or inconsistent?
1
Is there a solution? If so, what type? Is this consistent or inconsistent? When graphed together, what type of lines are these?
Is there a solution? If so, what type? Is this consistent or inconsistent? When graphed together, what type of lines are these?
1
Is there a solution? If so, what type of solution? Is this consistent or inconsistent?
Is there a solution? If so, what type of solution? Is this consistent or inconsistent?
1
What is a characteristic of a no solution linear system of equations?
What is a characteristic of a no solution linear system of equations?

1
2
2
1
2
2

1
2
2
1
2
2
6
Solve using elimination:
Solve using elimination:
6
Solve by elimination: −6x + 6y = 09x − 8y = 4
Solve by elimination:
−6x + 6y = 0
9x − 8y = 4
1
1
1
y = 2x + 11y = -3x + 1
y = 2x + 11
y = -3x + 1