Log in
Sign up for FREE
arrow_back
Library
Unit 4 Test-Integration (Part 1)
By Genene Cook
star
star
star
star
star
Share
share
Last updated about 3 hours ago
18 questions
Add this activity
1
1
1
1
1
1
1
1
1
1
1
1
1
1
1
1
1
1
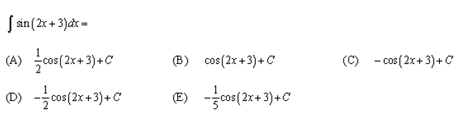
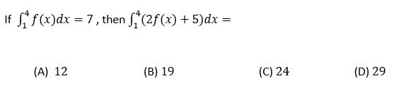
Question 1
1.
A
B
C
D
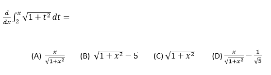
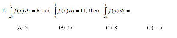
Question 2
2.
A
B
C
D
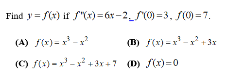
Question 3
3.
A
B
C
D
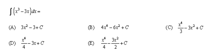
Question 4
4.
A
B
C
D
Question 5
5.
A
B
Question 6
6.
A
B
Question 7
7.
A
B
C
D
Question 8
8.
A
B
C
D
Question 9
9.
A
B
C
D
Question 10
10.
A
B
C
D
Question 11
11.
A
B
C
D
Question 12
12.
A
B
C
D
Question 13
13.
A
B
Question 14
14.
A
B
C
D
Question 15
15.
A
B
C
D
Question 16
16.
A
B
C
D
Question 17
17.
A
B
Question 18
18.
A
B
C
D
C
D
E
C
D
E
C
D
E
C
D
E