Waves Check in #3
star
star
star
star
star
Last updated 8 months ago
19 questions

2
Label the following: -Nodes & Antinodes-Show me how to measure a wavelength-Show me how to measure the amplitude
Label the following:
-Nodes & Antinodes
-Show me how to measure a wavelength
-Show me how to measure the amplitude
1
Waves transport... (move from one location to another)
Waves transport...
(move from one location to another)
1
Select the factor(s) that determine a speed of a wave (DONT GET THIS WRONG!)
Select the factor(s) that determine a speed of a wave (DONT GET THIS WRONG!)
1
Match the term with the behavior
Match the term with the behavior
| Draggable item | arrow_right_alt | Corresponding Item |
|---|---|---|
Refraction | arrow_right_alt | Angle of incidence is equal to the final angle |
Reflection | arrow_right_alt | When a wave changes direction due to a change in the velocity of the wave |
Interference | arrow_right_alt | When a wave bends around corners or barriers |
Diffraction | arrow_right_alt | When waves interact with each other, adding together or subtracting |

1
How many wavelengths are depicted?
How many wavelengths are depicted?
1
What is the wavelength of this wave?
What is the wavelength of this wave?
1
What is the velocity of this wave?
What is the velocity of this wave?
1
If these waves were produced on a string, what is one way to increase the wave speed?
If these waves were produced on a string, what is one way to increase the wave speed?
A standing wave in the 4th harmonic is generated in an open ended tube with a frequency of 440 Hz. The speed of the wave is 345 m/s.
1
Sketch the wave presented in the problem
Sketch the wave presented in the problem
1
What is the wavelength?
What is the wavelength?
1
What is the length of the tube?
What is the length of the tube?
1
What is the fundamental frequency for this tube?
What is the fundamental frequency for this tube?
2
When a tube that is open on both ends it hit on the table it creates a sound. When one end of this tube is closed off and it is hit again, the sound changes and it makes a lower pitch. Describe how this sound changes and explain why it happens. Include a picture to explain your answer.
When a tube that is open on both ends it hit on the table it creates a sound. When one end of this tube is closed off and it is hit again, the sound changes and it makes a lower pitch. Describe how this sound changes and explain why it happens. Include a picture to explain your answer.

1
What harmonic is represented?
What harmonic is represented?
1
If the tube length is 20cm, what is the wavelength?
If the tube length is 20cm, what is the wavelength?
1
If the speed of sound is 345 m/s, what is the frequency in this tube?
If the speed of sound is 345 m/s, what is the frequency in this tube?

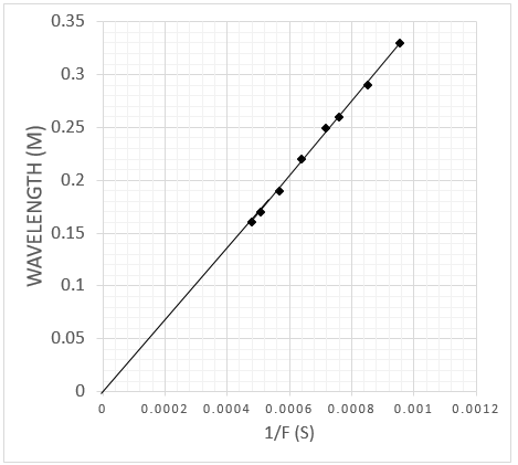
2
Data from the speed of sound lab is shown in the graph. Use the graph to determine the speed of sound.
Data from the speed of sound lab is shown in the graph. Use the graph to determine the speed of sound.

1
The speed of sound lab was repeated in a different room and produced the data in orange. (original data in blue). How does the speed of sound in the orange data compare to the blue data?
The speed of sound lab was repeated in a different room and produced the data in orange. (original data in blue). How does the speed of sound in the orange data compare to the blue data?
1
What is one thing that could be different that produces the change you described? Explain your reasoning.
What is one thing that could be different that produces the change you described? Explain your reasoning.