Log in
Sign up for FREE
arrow_back
Library

OAT Lesson 13: Expressions with Exponents

star
star
star
star
star
Last updated almost 3 years ago
23 questions
Required
1
Develop Understanding
Today's Learning Goal: (G6, U6, L13)
  • Critique (orally and in writing) arguments that claim two different numerical expressions are equal.
  • Justify (orally and in writing) whether numerical expressions involving whole-number exponents are equal.
Today's Materials:
  • Laptop
  • Laptop charger
  • Pen/Pencil/Paper/Expo Marker (optional)
Please complete the Jump Start (activator). You have 5 minutes before we review. This is independent it should be silent.
Reminders:
1. Ready for class
2. No cellphones
3. Volume must be low.
4. Read and follow all directions
5.) Take your bag off and immediately begin the Activator.

JUMP START: Which One Doesn't Belong? - ( 5min)

Question 1
1.

Which One Doesn't Belong?

Required
0
Required
0
Required
0
Required
0
Required
0
Required
0
Required
0
Required
0
Required
0
Required
0
Required
0
Required
0
Required
0
Required
0
Required
0
Required
0
Required
0
Required
1
Required
0
Required
1
Required
1

Lesson Synthesis: - (5 min)

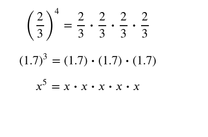
When working with exponents, the bases don’t have to always be whole numbers. They can also be other kinds of numbers, like fractions, decimals, and even variables.

For example, we can use exponents in each of the following ways:


Cool Down: Coin Calculation - (5 min)

Andre and Elena knew that after 28 days they would have
coins, but they wanted to find out how many coins that actually is. Andre wrote:
Elena said, “No, exponents mean repeated multiplication. It should be, 28 x 28 which works out to be 784.”
Required
4
Question 23
23.

Do you agree with either of them? Explain your reasoning

Closure Questions:

What is an exponent?
What is a power?
What is a base?

Launch: Pratcice Problems - (10 min)

I do (question 2)
We do (question 3
You do (question 4)
Question 2
2.

Select all expressions that are equal.
to: 3 x 3 x 3 x 3 x 3

Question 3
3.

Question 4
4.

Question 5
5.

Question 6
6.

Question 7
7.

Is this equation true? Show or explain.

Activity 1: Is the Equation True - (10 min)

Decide whether each equation is true or false, and explain how you know.

Question 8
8.

Question 9
9.

Question 10
10.

Question 11
11.

Question 12
12.

Question 13
13.

Question 14
14.

Question 15
15.

Question 16
16.

Activity 2: What's Your Reason?

(Groups of 2)

Your partner listens to your explanation. If you disagree, explain your reasoning until you agree. Switch roles for each list

Question 17
17.

In each list, find expressions that are equivalent to each other and explain to your partner why they are equivalent.

Question 18
18.

List #2

Question 19
19.

List #3

Question 20
20.

List #4

Question 21
21.

List #5

Question 22
22.

List #6