Log in
Sign up for FREE
arrow_back
Library

EOC Review Topics - Exponential Functions

star
star
star
star
star
Last updated about 8 hours ago
20 questions
1
1
1
1
1
1
1
1
1
1
1
1
1
1
1
1
1
1
1
1
Question 1
1.

A towns population is growing exponentially. In 2000, the population was 10,000. By 2006 it had risen to 29,860. Let x = 0 represent 2000. Write an equation to represent the growth then predict the population in 2010.
Put the answer to the prediction into formative.

Question 2
2.

A bacteria colony is growing exponentially each day. There was initially had 100 bacteria and after 3 days it had 800. How many bacteria after 10 days.

Question 3
3.
  • The value of a machine depreciates by 17% per year.
  • Every 124 minutes, ½ of a drug dosage remains in the body.
  • A liter of water evaporates from a swimming pool every day.
  • A savings account, which earns no interest, receives a deposit of $723 per month.
  • Every week, 9/10 of a radioactive substance remains from the beginning of the week.
  • Linear
  • Exponential
Question 4
4.

Town A adds 10 people per year to its population, and town B grows by 10% each year. In 2006, each town has 145 residents.
What is the difference in the populations in 2016?

Question 5
5.

Monica did an experiment to compare two methods of warming an object. The results are shown in the table below. Which statement best describes her results?

Question 6
6.
Kevin and Joseph each decide to invest $100. Kevin decides to invest in an account that will earn $5 every month. Joseph decided to invest in an account that will earn 3% interest every month.
Whose account will have more money in it after two years _______ and how much more _______ ?
Question 7
7.

Kevin and Joseph each decide to invest $100. Kevin decides to invest in an account that will earn $5 every month. Joseph decided to invest in an account that will earn 3% interest every month.
After how many months will the accounts have the same amount of money in them?

Question 8
8.

The current student population of the Brentwood Student Center is 2,000. The enrollment at the center increases at a rate of 4% each year. To the nearest whole number, what will the student population be in 3 years?

Question 9
9.

Mr. Smith invested $2,500 in a savings account that earns 3% interest compounded annually He made no additional deposits or withdrawals. Write the exponential equation that can be used to determine the number of dollars in this account at the end of 4 years.
** Be sure to write an equation: starting with either y= or f(x) =

Question 10
10.

Trina has a purchased a new car for $30,000. If the car depreciates at 8% a year, what year will the car be worth half the purchase price?

Question 11
11.



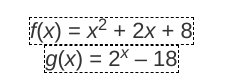
What is the largest integer such that f(x) \leq g(x) ?

Question 12
12.



What is the smallest integer where f(x) \geq g(x) ?

Question 13
13.

Every ten years, the Census counts how many people are living in every town in the United States.
• The 2010 Census showed that 1,000 people were living in Appleville, and 4,000 people were living in Bridgetown.
• The population of Appleville is predicted to double every ten years.
• The population of Bridgetown is predicted to increase by 1,000 every ten years.

If the predictions come true, what will be the first census year that will show Appleville with a larger population than Bridgetown?

Question 14
14.

Grammie Sue Sue put $1000 into an account when her granddaughter Blakely was born. If the account grew by 12% compounded annually with no extra deposits or withdrawals, how much money would the account have when Blakely turns 18?

Question 15
15.

The function f(x) = 9,500(1.03)^x represents the population of a small town after x years. What does 9,500 represent in the function?

Remember - I have to go in and hand grade these answers - be patient, if you think you are right and it gives you a red response.

Question 16
16.


For which positive integer, x, does g(x) first exceed f(x)?

Question 17
17.

Alexis and David each deposit $150 into bank accounts at the same time.
  • Alexis’s account grows by $4.50 each month.
  • David’s account grows by 2.5% each month.
After how many months will David first have more money in his account than Alexis?

Question 18
18.

Holly compared the exponential function, f(x), in this graph to the linear function, g(x), in this table.
What is the smallest positive integer value, x, for which f(x) exceeds g(x)?

Question 19
19.

This shows two functions.
f(x) = 3x^2 + 5x – 12
g(x) = 15(1.2)^x
For which positive integer, x, does g(x) first permanently exceed f(x)?

Question 20
20.

The temperature using Method 2 changed exponentially.
The value of g(x) will eventually exceed the value of f(x) and continue to exceed it forever.
The value of f(x) will eventually exceed the value of g(x) and continue to exceed it forever.