Log in
Sign up for FREE
arrow_back
Library

[AP Statistics] 11.1a Classwork/Homework

star
star
star
star
star
Last updated 10 months ago
28 questions
1
1
1
1
1
1
1
1
1
1
1
1
1
1
1
1
1
1
1
1
1
1
1
1
1
1
1
1
Complete the quiz at the following link: Here
Question 1
1.

What was your score on the quiz (how many did you get correct)? Record just your first attempt!

Question 2
2.

Do you think AP Statistics students are better at this quiz than the average person? Explain

Question 3
3.
Using the average score stated on the website, complete the following to test whether or not AP students are better at the quiz than people overall:

STATE:

We want to test
H0: _______
Ha: _______

Where u = _______
using a=0.05
Question 4
4.
PLAN: One-Sample t-test for u
Conditions
Random: _______
10% Condition: _______
Normal/Large Sample: _______
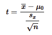
Question 5
5.
Standardized Test Statistic


xÌ… = _______
u0= _______
sx= _______
n= _______

Remember, you can find Sx (and xÌ…) by typing the values into a list and using stat->calc->one-variable stats

Round to the nearest Hundredth
Question 6
6.
DO:

Standardized Test Statistic = _______

Using Calculator
Stats -> Test -> TTest
degrees of freedom = n - 1 = _______


p-value (from calculator) = _______

Round to the nearest hundredth
Question 7
7.
CONCLUDE:

Because the P-Value _______ ,

We _______ H0. We _______ have convincing evidence that _______
Question 8
8.

Question 9
9.

Explain

Question 10
10.

Round to the nearest Hundredth

Question 11
11.

b. Find the P-value

Round to the nearest Hundredth

Question 12
12.

Question 13
13.

Explain why

Question 14
14.

Question 15
15.

Question 16
16.

Explain

Question 17
17.

Question 18
18.

b. Calculate the standardized Test statistic

Round to the nearest hundredth

Question 19
19.

Calculate the p-value

Round to the nearest hundredth

Question 20
20.


STATE

Question 21
21.

PLAN

Question 22
22.

DO

Question 23
23.

CONCLUDE

Question 24
24.

Question 25
25.

Explain

Question 26
26.

Question 27
27.

Explain why

Question 28
28.


Are the conditions met?
Yes
No
Reject the null hypothesis
Accept the null hypothesis
Fail to reject the null hypothesis
Accept the alternative hypothesis
Yes
No
Type 1
Type 2
Either one
No need to do the full state/plan/do/conclude again.
Yes
No
Are there any problems above that you would like to go over in class? Indicate the question numbers below (Numbers refer to the Formative question number). I'll try to cover anything that is highly requested.
1
2
3
4
5
6
7
8
9
10
11
12
13
14
15
16
17
18
19
20
21
22
23
24
25
26
27