Log in
Sign up for FREE
arrow_back
Library

Algebra L9-2 Quiz v3

star
star
star
star
star
Last updated over 2 years ago
6 questions
1
1
1
Question 3
3.

1
1
1
Question 1
1.

What is the factored form of the function shown in the graph?


Question 2
2.

What are the solutions of the equation 3x^{2}+2x-8 = 0?

What are the x-intercepts of the graph y=x^{2}+2x-15?
Question 4
4.

If the vertex of a parabola is always located halfway between the x-intercepts, what are the coordinates of the vertex of the parabola y=x^{2}+2x-15?

Question 5
5.

Solve the equation by factoring:
2r^{2}+5r-11=-13

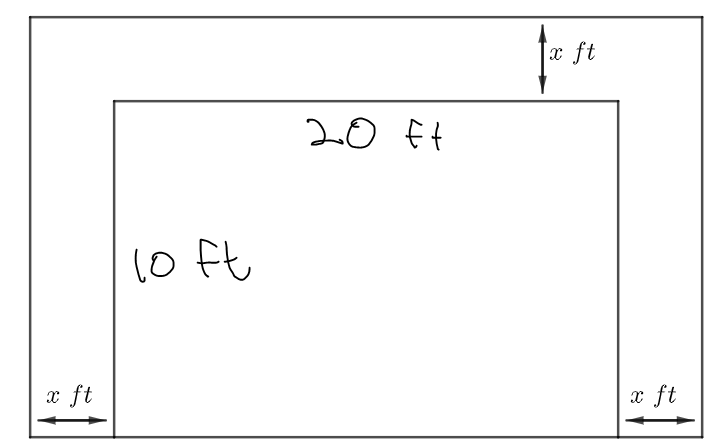
Question 6
6.

A 20\textrm{ ft}\times 10\textrm{ ft} stage is bordered on three sides by "backstage" and "wing" space that is x feet wide. The overall dimensions of the combined lot and walkway are 20 \textrm{ ft}\times 10 \textrm{ ft}. The combined area is 450\textrm{ ft}^{2}. What is the value of x?


(x-5)(x+4)