Log in
Sign up for FREE
arrow_back
Library
[AP Calculus BC] 10.6 Convergence of Power Series
By Oliver Khamky
star
star
star
star
star
Share
share
Last updated about 2 years ago
7 questions
Add this activity
Note from the author:
Instructions
Untitled Section
1
12
1
1
1
1
1
1
You can check your answers using the HINT function
You can check your answers using the HINT function
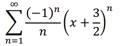
Question 1
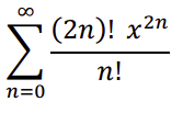
1.
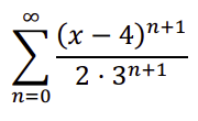
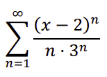
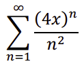
Find the interval and radius of convergence
Question 2
2.
Question 3
3.
Question 4
4.
Question 5
5.
Question 6
6.
Question 7
7.
I
II
III