Log in
Sign up for FREE
arrow_back
Library

Precalc Honors 6.2 Homework

star
star
star
star
star
Last updated about 1 month ago
7 questions
2
1
1
1
2
1
1
Question 1
1.

Multiply A= \begin{bmatrix} 8 & 1 \\ \end{bmatrix} by B=\begin{bmatrix} 3 & -7 \\ -5 & 2 \end{bmatrix} by hand.

Question 2
2.

Suppose C is a 4x5 matrix and D is a 5x1 column matrix. What are the dimensions of CD?

Question 3
3.

Question 4
4.

What is the determinant of the matrix

Question 5
5.

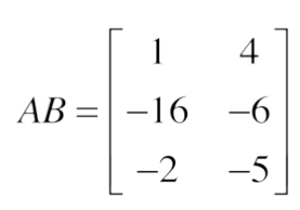
If




what is the first row of B? Put your answer in [] and do not use a comma (do use a space)

Question 6
6.

Find the inverse of \begin{bmatrix} 3 & 1 & 0 \\ -2 & -1 & 4 \\1 & 2 & 5 \end{bmatrix}. What is the largest value that appears in the inverse matrix?

Question 7
7.

Matrix A=\begin{bmatrix} 4 & 2 & 1 \\ -2 & 3 & 5 \\ 6 & -1 & -4 \end{bmatrix} does not have an inverse. What is one other thing you can say about matrix A?

Are A and B inverses if A=\begin{bmatrix} 4 & -5 \\ 5 & -6 \end{bmatrix} and B=\begin{bmatrix}-6 & 5\\-5 & 4\end{bmatrix}
Yes
No