Log in
Sign up for FREE
arrow_back
Library

Difference of Squares

star
star
star
star
star
Last updated over 2 years ago
18 questions
Note from the author:
Here's a short video lesson using difference of squares:
https://www.youtube.com/watch?v=_qyVzH3e1dY

Notes & EXAMPLES
VIDEO ON HOW TO USE THE CALCULATOR TO FIND SQUARE ROOT: https://www.youtube.com/watch?v=isXRsgjZi7A

DIFF OF SQUARES

SOLVING USING DIFF OF SQUARES...

Here's a short video lesson ON FACTORING QUADRATICS:
https://www.youtube.com/watch?v=SDe-1lGeS0U&t=2s
NOTES & EXAMPLES...

FACTORING QUADRATICS EXAMPLES...

TO SOLVE: SET EACH SET OF PARENTHEIS = 0 AND THEN SOLVE FOR x.

Here's a short video lesson using difference of squares:
https://www.youtube.com/watch?v=_qyVzH3e1dY

Notes & EXAMPLES
VIDEO ON HOW TO USE THE CALCULATOR TO FIND SQUARE ROOT: https://www.youtube.com/watch?v=isXRsgjZi7A

DIFF OF SQUARES

SOLVING USING DIFF OF SQUARES...

Here's a short video lesson ON FACTORING QUADRATICS:
https://www.youtube.com/watch?v=SDe-1lGeS0U&t=2s
NOTES & EXAMPLES...

FACTORING QUADRATICS EXAMPLES...

TO SOLVE: SET EACH SET OF PARENTHEIS = 0 AND THEN SOLVE FOR x.

DIFFERENCE OF SQUARES - See video above and examples.
1
1
1
1
1
1
1
1
1
1
1
1
1
1
1
1
1
1
FACTORING QUADRATICS- See video at beginning and examples
Question 1
1.

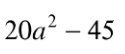
What is the correct factoring for Difference of Squares

Question 2
2.

What is the solution? Hint: Use factoring of difference of squares then set each parenthesis equal to zero and solve each equation.

Question 3
3.

What is the correct factoring for Difference of Squares

Question 4
4.

Using the factoring from #3.

Solve

Question 5
5.

What is the correct factoring for Difference of Squares

Question 6
6.

Using the factoring from #5.

Solve

Question 7
7.

What is the correct factoring for Difference of Squares

Question 8
8.

What is the correct factoring for Difference of Squares

Question 9
9.

Using the factoring from #8. Remember to reduce fractions!

Solve

Question 10
10.

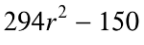
What is the correct factoring for Difference of Squares

Question 11
11.

What is the correct factoring for Difference of Squares. Write you answer using parenthesis with no spaces anywhere... ( )( ) If not perfect squares, then write n/a

Question 12
12.

Using the factoring from #11.
Solve.
Write you answer n=#,n=# with no spaces

Question 13
13.

What is the correct factoring for Difference of Squares

Question 14
14.

What is the correct factoring for Difference of Squares

Question 15
15.

Using the factoring from #14, Solve.
Write you answer n=#,n=# with no spaces

Question 16
16.

What is the correct factoring for Difference of Squares

Question 17
17.

What is the correct factoring for Difference of Squares

Question 18
18.

Using the factoring from #17, Solve
Write you answer x=#,x=# with no spaces.