Log in
Sign up for FREE
arrow_back
Library

05/18 Final Prep: Expressions, Equations & Inequalities

star
star
star
star
star
Last updated over 1 year ago
29 questions
1
1
1
1
1
1
1
1
1
1
1
1
1
1
1
Question 1
1.

Question 2
2.

1
1
1
1
1
1
1
1
1
1
Question 13
13.

Mrs. Hessler has (20x + 10) followers on Tik Tok. Mrs. Russ has (9x - 4) followers on Tik Tok. Write a simplified expression that represents how many more followers Mrs. Hessler has than Mrs. Russ. Make sure you simplify the expression.

Question 14
14.

(3c + 2) + 4(1.3c – 5)

Question 15
15.

(k + 3) – (3k – 5)

Question 16
16.

- (3x + 8) – 6(5x – 3)

Question 17
17.

Question 18
18.
Choose the equation that represents the word problem. Then solve. Show your work in the show your work section.

Ally has scored 24 goals this season. This is 6 times the number of goals as Kat.

What is the equation that represents this situation? __________

What is the number of goals that Kat has scored? __________
Question 19
19.

Solve for x.


Question 20
20.

Solve for the variable:

Question 21
21.

Solve for the variable:

Question 22
22.

Solve for the variable:

Question 23
23.

Solve and graph in the show your work section.
Write your solution using x first

Question 24
24.

Solve and graph in the show your work section.

Question 25
25.

Solve and graph in the show your work section.

1
Question 26
26.

Inequality
(Use 0.20 in your inequality)

1
1
Question 28
28.

Inequality

1
Select all of the following expressions that are not equivalent to 8(-x - 1/2)
-8x-4
-8x+4
-8x - 1/2
-4(2x+1)
-x-x-x-x-x-x-x-x-4
Select all of the following expressions that are not equivalent to -2x + 5(4x + 2)
-6x+10
18x+10
-22x+10
2(9x+5)
9x+9x+2(5)
Question 3
3.

Create an equivalent expression by expanding (distribute) the following:
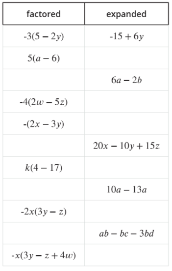
5(a - 6)

(no spaces!)

Question 4
4.

Create an equivalent expression by factoring (GCF) the following:
6a - 2b

(no spaces!)

Question 5
5.

Create an equivalent expression by expanding (distribute) the following:
-4(2w - 5z)

(no spaces!)

Question 6
6.

Create an equivalent expression by expanding (distribute) the following:
-(2x - 3y)

(no spaces!)

Question 7
7.

Create an equivalent expression by factoring (GCF) the following:
20x - 10y + 15z

(no spaces!)

Question 8
8.

Create an equivalent expression by expanding (distribute) the following:
k(4 - 17)

(no spaces!)

Question 9
9.

Create an equivalent expression by factoring (GCF) the following:
10a - 13a

(no spaces!)

Question 10
10.

Create an equivalent expression by expanding (distribute) the following:
-2x(3y - z)

(No spaces! Please letters in alphabetical order)

Question 11
11.

Create an equivalent expression by factoring (GCF) the following:
ab - bc - 3bd

(no spaces!)

Question 12
12.

Create an equivalent expression by expanding (distribute) the following:
-x(3y - z + 4w)

(No spaces! Please letters in alphabetical order)

Question 27
27.

Solution

Question 29
29.

Solution