Log in
Sign up for FREE
arrow_back
Library

CAASPP Practice Test

star
star
star
star
star
Last updated almost 3 years ago
40 questions
Note from the author:
1
1
1
1
1
1
1
1
1
1
1
1
1
1
1
1
1
1
1
1
1
1
1
1
1
1
1
1
1
1
1
Work in small groups to complete these problems. Some of them are like mathematical puzzles! Watch the videos to see how to solve the tougher ones...or try them on your own first. :)
Work in small groups to complete these problems. Some of them are like mathematical puzzles! Watch the videos to see how to solve the tougher ones...or try them on your own first. :)

Watch this 1 minute (silent) video to remember how to solve systems of equations:

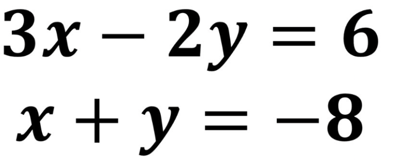
Question 1
1.

Solve by either using substitution or elimination


Write your answer as an ordered pair (x,y)


Rational numbers include whole numbers, fractions, or decimals that end or repeat.

Another way to think of this is that a rational number can be written as a fraction (ratio)
Question 2
2.

Sort each number into a category

  • 3√5
  • 9.31289452...

Watch this 1 minute (silent) video to remember how to solve absolute value inequalities:

Question 3
3.

Solve.

Type your answer in this format:
___\leqx\leq___

Question 4
4.

Select the correct number line for the solutions of:

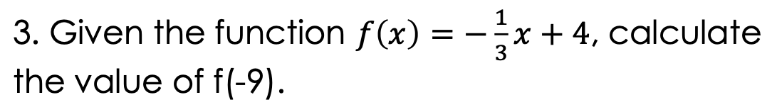
Question 5
5.

Hint: sub -9 in for x.

Watch this 1 minute video to remember how to graph linear equations in standard form:

Question 6
6.

  • Click a Graph tab (Graph 1, Graph 2, and so on) for each graph you need to plot.
  • Click on the graph background to add a point. Add two points to create a graph. Drag a point or type in x and y coordinates to edit its position. Click on a point to delete it.
  • After creating your graph, you can check the dashed line box.
Question 7
7.

Solve each equation and then sort into a category based on the type of solutions.

Draggable itemarrow_right_altCorresponding Item
Hint: Subtract 5x first...plug back in to check!
arrow_right_alt
No real solution
Hint: Factor & set equal to zero...plug back in to check!
arrow_right_alt
One real solution
Hint: Subtract 6, then square both sides...plug back in to check!
arrow_right_alt

Watch this video to see how to solve the next problem:

Question 8
8.

Cost per scoop = _______
Cost per topping = _______
Question 9
9.

Example:


Now you try:

Simplify using properties of exponents

x should be in your answer

Question 10
10.

Example:

Subtract the exponents. Now you try:

Simplify using properties of exponents

Question 11
11.


Select ALL that apply.

Question 12
12.

A washing machine was purchased for $700 and loses 1/4 of its value each year. Enter the function f(t) that describes the value of the washing machine as a function of time in years, t.

Type: f(t)=a(1-r)^t

Question 13
13.

Use your equation from the previous question:
A washing machine was purchased for $700 and loses 1/4 of its value each year. How much is the washing machine worth after 4 years?

Round to nearest penny and include $

Question 14
14.
The dimensions of the box below are given as

height = x
width = 9-2x
length = 5-2x

The volume of the box is given by the function:


The function is graphed below. Find the dimensions of the box that will give the maximum volume.


height = x = x-value of maximum point on graph = _______
Now sub that x-value into the width and length expressions:
width = 9-2x = _______
length = 5-2x = _______

Watch this video to see how to solve the next problem:

Question 15
15.

Melissa drew a right triangle.

The length of the hypotenuse is \sqrt{74}
The perimeter is 12 + \sqrt{74}

Find the length of the other two sides of the triangle.
Enter the two numbers separated with a comma, and no spaces

Question 16
16.
A hot air balloon elevation is shown in the table below.
In which interval did the balloon gain the most altitude? __________

In which interval did the balloon drop the most? __________

Watch this video to see how to solve the next problem:

Question 17
17.

Use the formulas below:



Solve for r. Round to the nearest whole number.

Question 18
18.

Write a function to represent the height of the helicopter.
Type: f(t)=-mt+b

m is the slope rise/run
b is the y-intercept

Watch this video to see how to solve the next problem:

Question 19
19.

Question 20
20.

What is the width of the walkway? (solve for w)

Hint:
Length = 17+2w
Width = 13+2w
Area = 396

Area = (Length)(Width)
396 = (17+2w)(13+2w)
-FOIL the right side^
-Subtract 396
-Factor or use Quadratic Formula to solve for w.

Question 21
21.

Question 22
22.

Question 23
23.
Two gardens are planted in the shape shown below.


Which garden is bigger?__________
How much larger is that garden ?__________
Question 24
24.

rise/run between (0,20) and (20,40)

Question 25
25.

When the full roll of paper towels is unrolled, it has a length of 528 inches of paper towels. Enter the length, in inches, of the paper towels remaining on the partial roll.
Hint: Set up a proportion & cross-multiply to solve for x.



Round to the nearest whole number.

Question 26
26.

Graph the function below


Hint:

  • Click a Graph tab (Graph 1, Graph 2, and so on) for each graph you need to plot.
  • Click on the graph background to add a point. Add two points to create a graph. Drag a point or type in x and y coordinates to edit its position. Click on a point to delete it.
  • After creating your graph, you can check the dashed line box.
Question 27
27.
How high will candle A be after 3 hours? _______
How high will candle B be after 3 hours? _______
Which candle will burn out first? _______
Question 28
28.

Question 29
29.

DRAW A PICTURE!

Question 30
30.

Mike sees a $58 sweatshirt at the store that is on sale for 30% off! He also has a coupon that will take an additional 20% off the sale price. How much will the sweatshirt cost?

Question 31
31.

Simplify


1
1
1
1
1
1
1
1
1
Rational
Irrational
More than 1 real solution
Select ALL that apply.
Question 32
32.

x represents the number of passengers in addition to the driver.

Question 33
33.
Table 3 shows the number of drivers and accidents by age of driver in the USA each year.
Your classmate, Kelly, claims that 16-year-olds are actually the safest teenage drivers because they have the least number of accidents. Find the probability for each age.

Type each answer as a percent and round to the nearest whole number.

Probability that a 16 year old gets into an accident _______

Probability that a 17 year old gets into an accident _______

Probability that a 18 year old gets into an accident _______

Probability that a 19 year old gets into an accident _______
Question 34
34.

Table 3 shows the number of drivers and accidents by age of driver in the USA each year.
Your classmate, Kelly, claims that 16-year-olds are actually the safest teenage drivers because they have the least number of accidents. Do you agree or disagree with Kelly? Explain any mathematics you did to reach your conclusion.

Question 35
35.

The table above shows data for new drivers in different states. Use the information to determine the average rate of change from states that require 20 hours of practice to states that require 100 hours.


Question 36
36.

Explain what the rate of change represents for this table (use your answer from above)

Question 37
37.

A recent study reported the probability of a driver committing a moving violation during each of the first 8 months after getting their license.
Put these drivers in order from LEAST likely to get a ticket to MOST likely

  1. 8 months after getting your license at 16.5 years
  2. 5 months after getting your license at 17 years
  3. 4 months after getting your license at 16 years
  4. 7 months after getting your license at 16.5 years
  5. 1 month after getting your license at 17 years
Question 38
38.

Currently you can get your license at 16 years old after having a permit for 6 months.

If there are 13,000 drivers that get their license each year in your state, how many accidents can you expect?

Question 39
39.

A new law would make it so that those 13,000 new drivers would need a permit for 12 months before they can get their license at 16 years old. How many accidents can we expect then?

Question 40
40.

Given all the data from above, and using your answers from this section....What changes would you recommend to the state to make the roads safer?

Recommendations could include:
-Changing the age a driver can get their permit
-The number of practice hours required
-The amount of time a driver must hold their permit
-The age a driver can get their license

5