Log in
Sign up for FREE
arrow_back
Library
Alg 2 FOCUS Day 79
By Stephanie Slone
star
star
star
star
star
Share
share
Last updated almost 3 years ago
3 questions
Add this activity
1
1
1
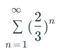
Question 1
1.
What is the value of this summation?
0
1
2
3
Question 2
2.
For which graph could represent a function
where
c
< 0.
Graph A
Graph B
Graph C
Question 3
3.
Which function is best represented by this graph?
Graph D