2023 FINAL EXAM
star
star
star
star
star
Last updated over 1 year ago
40 questions
1
Solve the equation.
Solve the equation.
1
x+8 = -5
x+8 = -5
2
1
Solve the equation.
Solve the equation.
2
Solve the equation.
Solve the equation.
2
Solve the equation.
Solve the equation.
1
Triangles ABC and QRS are congruent. Which angle of ABC corresponds to angle R?
Triangles ABC and QRS are congruent. Which angle of ABC corresponds to angle R?
1
Triangles ABC and QRS are congruent. Which angle of QRS corresponds to angle A?
Triangles ABC and QRS are congruent. Which angle of QRS corresponds to angle A?
1
Tell whether the shaded figure is a translation, reflection, rotation of the non-shaded figure.
Tell whether the shaded figure is a translation, reflection, rotation of the non-shaded figure.
1
Tell whether the shaded figure is a translation, reflection, rotation of the non-shaded figure.
Tell whether the shaded figure is a translation, reflection, rotation of the non-shaded figure.
1
What does the following rule describe?(x, y) → (x-2, y+5)
What does the following rule describe?
(x, y) → (x-2, y+5)
1
Angle 1 is 152. What is the measure of angle 4?
Angle 1 is 152. What is the measure of angle 4?
1
How are angle 1 and angle 4 related? Which property is it?
How are angle 1 and angle 4 related? Which property is it?
1
Angle 1 is 152. What is the measure of angle 5?
Angle 1 is 152. What is the measure of angle 5?
1
How are angle 1 and angle 3 related? Which property is it?
How are angle 1 and angle 3 related? Which property is it?
2
Find the measure of the interior angle. Show work. (2 pts)One point for work, one for answer.
Find the measure of the interior angle. Show work. (2 pts)
One point for work, one for answer.
2.5
Select the ordered pairs shown in the mapping diagram.
Select the ordered pairs shown in the mapping diagram.
1
Determine whether the relation is a function.
Determine whether the relation is a function.
1
Identify the missing output.
Identify the missing output.
2
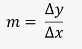
Find the slope of the line.
Hint:
Find the slope of the line.
Hint:
1
Simplify the expression.
Simplify the expression.
1
Convert 3,400,000 from standard form to Scientific Notation.
Convert 3,400,000 from standard form to Scientific Notation.
1
Does the graph represent a function?
Does the graph represent a function?
2
Graph the following linear equation.
Graph the following linear equation.
1
Use the graph to determine the solution point to the system of equations.
Use the graph to determine the solution point to the system of equations.
1
Convert 11/20 to a decimal.
Convert 11/20 to a decimal.
1.5
Determine if the graph of system of equations has one solution, no solution, or infinite solutions.
Determine if the graph of system of equations has one solution, no solution, or infinite solutions.
| Draggable item | arrow_right_alt | Corresponding Item |
|---|---|---|
| arrow_right_alt | No Solution | |
| arrow_right_alt | One Solution | |
| arrow_right_alt | Infinite Solutions |
1
Write the product using exponents.
Write the product using exponents.
1
Simplify the expression.
Simplify the expression.
1
Simplify the expression.
Simplify the expression.
1
Simplify the expression.
Simplify the expression.
1
Classify the real number. Rational or irrational.
Classify the real number. Rational or irrational.
1
Classify the real number. Rational or irrational.
Classify the real number. Rational or irrational.
2
Find the missing leg of the triangle. Show your work.
Find the missing leg of the triangle. Show your work.
1
Evaluate the expression.
Evaluate the expression.
1
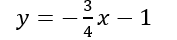
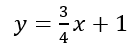
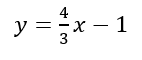
Which equation matches the line shown on the graph?
Which equation matches the line shown on the graph?
1
Find the slope of the equation.
y = 3x - 6
Find the slope of the equation.
y = 3x - 6
1
Find the y-intercept of the equation.
y = 3x - 6
Find the y-intercept of the equation.
y = 3x - 6
1
Find the value of y for x = 1
Find the value of y for x = 1
0
Write a function rule for the statement: (write an equation)"The output is 4 more than the input."
Write a function rule for the statement: (write an equation)
"The output is 4 more than the input."