Log in
Sign up for FREE
arrow_back
Library

UNIT 9 INTERVENTION RETAKE TEST

star
star
star
star
star
Last updated almost 3 years ago
14 questions
1
1
1
1
1
1
2
2
2
2
2
2
4
4
Question 1
1.

Question 2
2.

Question 3
3.

Question 4
4.

Question 5
5.

Question 6
6.

Question 7
7.

Solve:
Write your answers in set notation: { , }

Question 8
8.

Solve:
Write your answers in set notation: { , }

Question 9
9.

Solve using square roots:
Write your answers in set notation: { , }

Question 10
10.

Solve using square roots:
Write your answers in set notation: { , }

Question 11
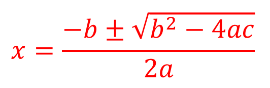
11.

Use the Quadratic Formula to solve. Round your answer to 2 decimal places.


Write your answers in set notation: { , }

Question 12
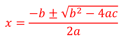
12.

Use the Quadratic Formula to solve.


Write your answers in set notation: { , }

Question 13
13.

A rock is thrown upward from a platform 32 feet above ground. The height in feet of the rock above the ground is given by the equation:
where t is the time in seconds after the rock is thrown.


How long does it take the rock to reach the ground?
Round to the nearest whole number.

Question 14
14.

The quarterback of a football team throws a pass to the team’s receiver. The height, h, in meters of the football can be modeled by
where t is the time elapsed in seconds. The receiver catches the football at a height of 1 meter. How long does the ball remain in the air until it is caught by the receiver?


Round your answer to the nearest tenth (1 decimal place).

What are the zeros of f(x)=(2x+7)(x-4)?
What are the factors of f(x)=3x^2-11x-4?
(3x+1)(x-4)
(3x+1)(x+4)
(3x-1)(x+4)
Solve 2x^2-8=0 using square roots. What are the solutions?
\pm2
\pm2\sqrt{3}
\pm4
What are the solutions to (x+2)^2=25 ?
{23,-27}
{3,-5}
{3,-7}
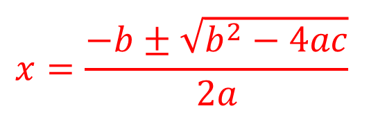
Callie is using the quadratic formula to find the zeros of y=x^2-2x-5. Which of the following values should she use for a, b, and c?
a=1, b=-2, c=-5
a=0, b=2, c=-5
a=1, b=2, c=5
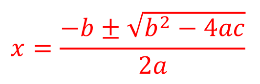
Emma is using the quadratic formula to find the zeros of


Which of the following will simplify to the correct solutions?