Log in
Sign up for FREE
arrow_back
Library

Week 4: Advanced Math-Multi-Step Equations

star
star
star
star
star
Last updated about 2 years ago
10 questions
Required
2
Required
5
Required
2
Required
2
Required
1
Required
1
Required
1
Required
1
Required
1
Required
1
Welcome Back!
This Week 4: Multi-Step Equations lesson has a 8-minute video which you can pause while you work problems and questions.

Be sure to attempt all the questions and submit when you are finished. Please contact me through the comment feature or send an email to rshaw@fergflor if you have any questions.
Question 1
1.

Question 2
2.

Draggable itemarrow_right_altCorresponding Item
arrow_right_alt
arrow_right_alt
arrow_right_alt
arrow_right_alt
arrow_right_alt
arrow_right_alt
Question 3
3.

Question 4
4.

Question 5
5.

Question 6
6.

Question 7
7.

Question 8
8.

Makayla is getting a new phone plan. Plan A will charge her $10 per month plus $0.10 per text message. Plan B will charge $35 per month plus $0.05 per text message. How many text messages will make the two plans cost the same for one month?

Question 9
9.

Makayla is getting a new phone plan. Plan A will charge her $10 per month plus $0.10 per text message. Plan B will charge $35 per month plus $0.05 per text message. When the cost of the two plans for one month is equal, what is that cost?

Question 10
10.

How long did this lesson take you to complete today?

Check all the expressions that are equivalent to
Match each set of steps with the property that explains why the two equations are equivalent.
5x = 3 - x
5x = -x + 3
Not Equal
16 = 4(9 - x)
16 = 36 - 4x
Commutative Property
18 = 3x - 6 + x
18 = 4x - 6
Division Property of Equality
5x = 20
4 - 5x = 24
Subtraction Property of Equality
-3(2x + 9) = 12
2x + 9 = -4
Distributive Property
5x = 4 + 2x
3x = 24
Combine Like Terms
Did this student go from the first step to the second step correctly? Select all that are true.

9x = 5x + 4
14x = 4
The student should have multiplied the 5x by the 9x.
The student should have added 4 and 9.
The student is correct.
The student should have subtracted 9 from 4.
The student should have subtracted 5x.
The student is incorrect.
Did this student go from the first step to the second step correctly? Select all that are true.

-11(x - 2) = 8
x - 2 = 8 + 11
The student should have divided by -11.
The student should have subtracted the 11.
The student should have subtracted the 8.
The student should have added the two.
The student is correct.
The student should have divided by 8.
The student is incorrect.
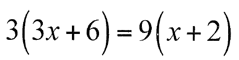
Does this equation have one solution, no solution, or infinitely many solutions?
All Real Numbers (Infinite Solutions)
No Solution
One Solution
All Real Numbers (Infinite Solutions)
No Solution
One Solution
All Real Numbers (Infinite Solutions)
No Solution
One Solution