Log in
Sign up for FREE
arrow_back
Library

2018: NY Grade 3 - Math

star
star
star
star
star
Last updated 20 days ago
26 questions
2018 Mathematics Test Session 1 Grade 3
Required
1
3.OA.5
NY-3.OA.5
Required
1
3.NBT.1
NY-3.NBT.1
Required
1
3.OA.4
NY-3.OA.4
Required
1
3.OA.1
NY-3.OA.1
Required
1
3.MD.5.b
NY-3.MD.5.b
Required
1
3.MD.1
NY-3.MD.1
Required
1
3.NF.2.b
NY-3.NF.2.b
Required
1
3.NF.2.a
NY-3.NF.2.a
Required
1
3.MD.2
NY-3.MD.2.a
NY-3.MD.2.b
Required
1
3.OA.5
NY-3.OA.5
Required
1
3.NF.3.d
NY-3.NF.3.d
2018 Mathematics Test Session 2 Grade 3
Required
1
3.OA.4
NY-3.OA.4
Required
1
3.NBT.3
NY-3.NBT.3
Required
1
3.NF.3.a
NY-3.NF.3.a
Required
1
3.OA.2
NY-3.OA.2
Required
1
3.OA.9
NY-3.OA.9
Required
1
3.MD.7.d
NY-3.MD.7.d
Required
1
3.G.2
NY-3.G.2
Required
1
3.NF.3.c
NY-3.NF.3.c
Required
2
3.MD.1
NY-3.MD.1
Required
2
3.OA.1
NY-3.OA.1
Required
2
3.NF.1
NY-3.NF.1
Required
2
3.MD.3
NY-3.MD.3
Required
2
3.OA.3
NY-3.OA.3
Required
2
3.MD.7.b
NY-3.MD.7.b
Required
3
3.OA.8
NY-3.OA.8.a
NY-3.OA.8.b
From the New York State Education Department. New York State Testing Program Grade 3 Mathematics Test Released Questions June 2018. Internet. Available from https://www.nysedregents.org/ei/math/2018/english/2018-released-items-math-g3.pdf; accessed 3, May, 2023.
Question 1
1.

Which expression is another way to show 8 x 6 ?

Question 2
2.

The distance from Chicago to New York City is 794 miles. What is 794 rounded to the nearest hundred?

Question 3
3.

Question 4
4.

Question 5
5.

A bulletin board can be covered completely by 30 square pieces of paper without any gaps or overlaps. If each pieve of paper has side lengths of 1 foot, what is the total area of the bulletin board?

Question 6
6.

Joe and Mike both ran the same race. Joe finished the race 4 minutes before Mike. If Mike finished the race at 4:02pm, what time did Joe finish the race?

Question 7
7.

The distance between Liam's home and his school is exactly 1 mile, as shown on the number line below.

Liam buys a snack at a store that is 3/8 mile from his home. What point on the number line shows the location of the store?

Question 8
8.

Which number line shows the fraction 1/3 plotted correctly?

Question 9
9.

A store has 8 fish tanks that each have 40 liters of water. What is the total number of liters of water in all of the fish tanks?

Question 10
10.

Last week, Paul ate 2 cookies each day for 5 days. This week, he ate 2 cookies each day for 4 days. Which expression can be used to represent the total number of cookies Paul ate in these two weeks?

Question 11
11.

Kay and Juanita each have a garden of the same size and shape.
  • Kay grows flowers in 1/6 of her garden.
  • Juanita grows flowers in 1/3 of her garden.
Which statement shows a correct comparison of the sections of flowers grown in Kay's garden and Juanita's garden?

TIPS FOR TAKING THE TEST

Here are some suggestions to help you do your best:
  • Read each question carefully and think about the answer before making your choice or writing your response.
  • You have been provided with a ruler to use during the test. Use the ruler whenever you think it will help you to answer the question.
  • Be sure to show your work when asked.
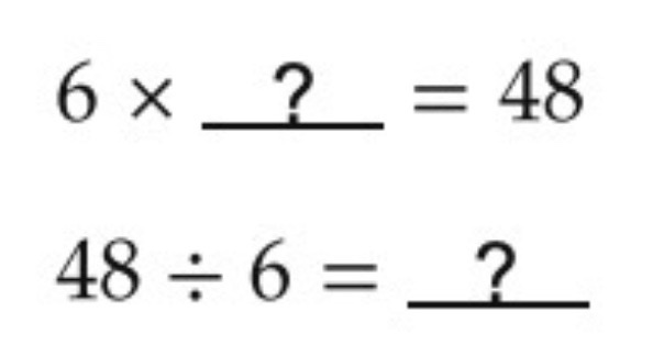
Question 12
12.

What number makes both equations true?

Question 13
13.

A teacher puts 5 packages of craft paper into a cabinet. Each package has 80 sheets of paper. What is the total number of sheets of craft paper that the teacher puts into the cabinet?

Question 14
14.

Jaime has a small container that holds exactly 1/4 cup of dog food. How many times should Jaime fill the container and pour it into the dog's howl to make sure the dog gets exactly 1/2 cup of food?

Question 15
15.

Which situation can be solved using the expression

Question 16
16.

A number pattern is shown below.

5, 9, 13, 17, 21, 25, 29

Which rule could have been used to make the pattern?

Question 17
17.

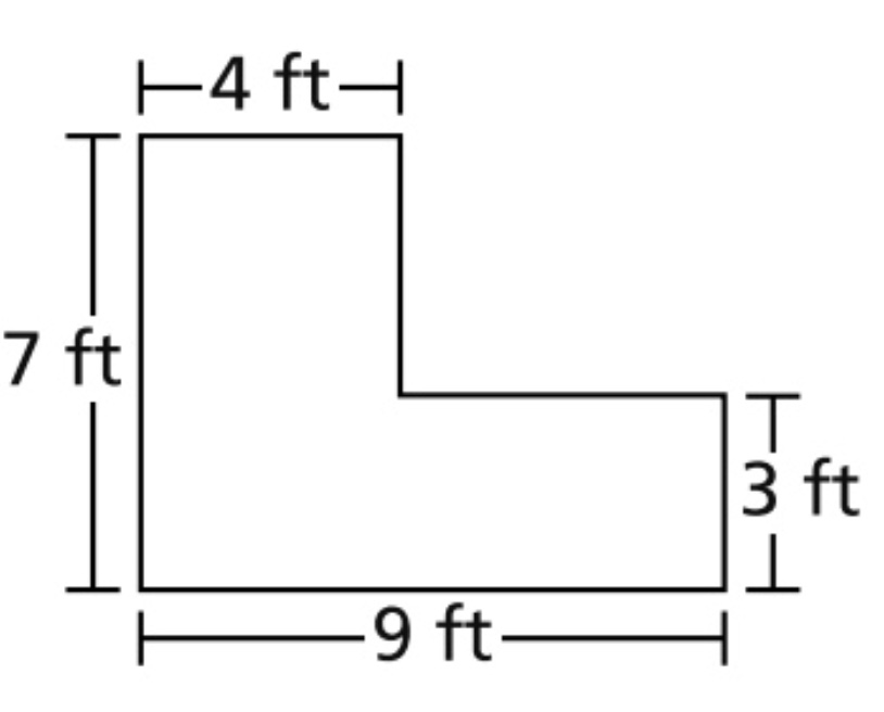
The shape of Cindy's flower garden is shown below.


What is the area, in square feet, of Cindy's flower garden?

Question 18
18.

The Diaz family used a spinner to play a game. The spinner was in the shape of a circle. Each section of the spinner was 1/4 of the whole circle. Which picture shows a spinner that the Diaz family used?

Question 19
19.

Which fraction is equivalent to 4?

Question 20
20.
Beth met her friends at the library at 4:30 p.m. It took her 24 minutes to walk from her house to the library. What time did Beth leave her house to arrive at the library at exactly 4:30 p.m. ?

Show your work.

Answer : _______ p.m.
Question 21
21.

Ethan made the array below to show the product of 6 x 7.


Does Ethan's model show the product of 6 x 7? Explain why or why not.

Question 22
22.

Two teachers each buy pizzas for a party. All of the pizzas are the same size.
  • Teacher A's pizzas were cut into 6 equal slices.
  • Teacher B's pizzas were cut into 8 equal slices.
Which teacher's pizzas were cut into larger slices? Use what you know about fractions to explain your answer.

Question 23
23.
The bar graph below shows the information third grade students collected about the eye color of students in their classroom.


How many fewer students have green eyes than students that have blue eyes and brown eyes combined?

Show your work.

Answer : _______ fewer students
Question 24
24.
A tennis coach buys 8 cans of tennis balls. There are 3 tennis balls in each can. All of the tennis balls will be shared equally among 6 players. How many tennis balls will each player get?

Show your work.

Answer : _______ tennis balls
Question 25
25.

The sizes of two bathroom floors in Beth's house are shown below.


Beth says that the area of the floor of the green bathroom is larger than the area of the floor of the blue bathroom. Is Beth's statement true? Why or why not?

Explain your answer.

Question 26
26.
Edwin uses 4 rolls of green ribbon and 8 rolls of purple ribbon for a project.
  • Each roll of green ribbon has a length of 90 feet.
  • Each roll of purple ribbon has a length of 60 feet.
What is the difference in length, in feet, between the total amount of green ribbon and the total amount of purple ribbon Edwin uses?

Show your work.

Answer : _______ feet
32
5 x 4
30 square feet
12:02 p.m.
point C
point D
D
320
(2 + 5) X (2 + 4)
1/3 = 1/6
1/3 + 1/6
54
450
4
finding the number of skirts on each rack when a total of 21 skirts are placed equally on 3 racks
Start with 5. Add 4 each time to get the next number.
Start with 5. Add 5 each time to get the next number.
43
47