4.3 Solving Systems of Equations Practice (Due 1/18/24)
star
star
star
star
star
Last updated 12 months ago
17 questions
Required
20
Directions: Solve each system of equations by graphing.
Type the solution in coordinate form - (x,y)
Directions: Solve each system of equations by graphing.
Type the solution in coordinate form - (x,y)
Required
20
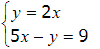
Directions: Solve this system by substitution.
Directions: Solve this system by substitution.
Required
20
Solve each system of equations by elimination.
Solve each system of equations by elimination.
Required
20
Solve each system of equations by elimination.
Solve each system of equations by elimination.
Required
20
Solve each system of equations by elimination.
Solve each system of equations by elimination.
Required
20
Solve each system of equations by elimination.
Solve each system of equations by elimination.
Required
20
Solve each system of equations by elimination.
Solve each system of equations by elimination.
Required
20
Solve each system of equations by elimination.
Solve each system of equations by elimination.
Required
20
Directions: Solve each system of equations by graphing.
Type the solution in coordinate form - (x,y)
Directions: Solve each system of equations by graphing.
Type the solution in coordinate form - (x,y)
Required
20
Directions: Solve each system of equations by graphing.
Type the solution in coordinate form - (x,y)
Directions: Solve each system of equations by graphing.
Type the solution in coordinate form - (x,y)
Required
20
Directions: Solve each system by substitution or elimination. (Chose the best method)
Directions: Solve each system by substitution or elimination. (Chose the best method)
Required
20
Directions: Solve each system by substitution or elimination. (Chose the best method)
Directions: Solve each system by substitution or elimination. (Chose the best method)
Required
20
Directions: Solve each system by substitution or elimination. (Chose the best method)
Directions: Solve each system by substitution or elimination. (Chose the best method)
Make it Better
Required
20
Find the mistakes and correct them and find the answer.
Find the mistakes and correct them and find the answer.
Required
20
Directions: Solve each system by substitution or elimination. (Chose the best method)
Directions: Solve each system by substitution or elimination. (Chose the best method)
Required
20
Directions: Solve each system by substitution or elimination. (Chose the best method)
Directions: Solve each system by substitution or elimination. (Chose the best method)
Required
20
Directions: Solve each system by substitution or elimination. (Chose the best method)
Directions: Solve each system by substitution or elimination. (Chose the best method)