Log in
Sign up for FREE
arrow_back
Library
8/9 Properties of Multiplication and Division
By Alexandra Jones
star
star
star
star
star
Share
share
Last updated over 1 year ago
10 questions
Add this activity
1
1
1
1
1
1
1
1
1
1
Question 1
1.
Question 2
2.
visibility
View drawing
Question 3
3.
visibility
View drawing
Question 4
4.
visibility
View drawing
Question 5
5.
visibility
View drawing
Question 6
6.
visibility
View drawing
Question 7
7.
visibility
View drawing
Question 8
8.
visibility
View drawing
Question 9
9.
visibility
View drawing
Question 10
10.
visibility
View drawing
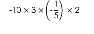
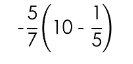
Place the expressions below under the best property you would use FIRST in order to solve.
Distributive Property
Multiplicative Inverse
Commutative Property of Multiplication