Log in
Sign up for FREE
arrow_back
Library

Lesson 12.1 Multiply and Divide Rational Expressions

star
star
star
star
star
Last updated over 1 year ago
13 questions
Note from the author:
1
1
1
1
1
1
1
1
1
1
1
1
1
I can multiply and divide rational expressions.
I can multiply and divide rational expressions.
Question 1
1.

Find the product. List any excluded values in the show your work window.

Question 2
2.

Find the product. List any excluded values in the show your work window.

Question 3
3.

Find the product. List any excluded values in the show your work window.

Question 4
4.

Find the product. List any excluded values in the show your work window.

Question 5
5.

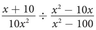
Find the quotient. List any excluded values in the show your work window.

Question 6
6.

Find the quotient. List any excluded values in the show your work window.

Question 7
7.

Find the quotient. List any excluded values in the show your work window.

Question 8
8.

Find the quotient. List any excluded values in the show your work window.

Question 9
9.

Find the quotient. List any excluded values in the show your work window.

Question 10
10.

Find the quotient. List any excluded values in the show your work window.

The height of a rectangular prism is 2.5 times its length. The product of the length and width of the prism is 72 square inches. Let the width of the prism be w.
Question 11
11.

Write an expression for the length in terms of w.

Question 12
12.

Write an expression for the height in terms of w.

Question 13
13.

Write an equation for the volume of the prism in terms of w.