Log in
Sign up for FREE
arrow_back
Library

Lesson 12.2 Add and Subtract Rational Expressions

star
star
star
star
star
Last updated over 1 year ago
11 questions
Note from the author:
1
2
1
3
2
2
2
3
3
2
2
I can add and subtract rational expressions.
I can add and subtract rational expressions.
Question 1
1.

Determine the sum. Write the answer in simplest form.

Question 2
2.

Determine the sum. Write the answer in simplest form.

Question 3
3.

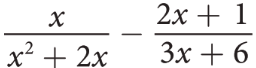
Determine the difference. Write the answer in simplest form.

Question 4
4.

Determine the difference. Write the answer in simplest form.

Question 5
5.

Determine the sum or difference. Write the answer in simplest form.

Question 6
6.

Determine the sum or difference. Write the answer in simplest form.

Question 7
7.

Determine the sum or difference. Write the answer in simplest form.

Question 8
8.

Determine the sum or difference. Write the answer in simplest form.

Question 9
9.

Determine the sum or difference

Question 10
10.

Write and simplify an expression for the situation.

The junior class and the senior class at a high school each pledge to raise $200 towards a new school water fountain. There are 25 more students in the junior class than there are in the senior class. If the students in each class raise the same amount per person, how much more will each senior need to raise than each junior needs to raise? Let x represent the number of students in the senior class at the high school.

Question 11
11.

Write and simplify an expression for the situation.

A bicycle courier averages r miles per hour traveling to his delivery point. On the return trip, he averages 3 miles per hour faster. If the distance from the courier office to the delivery destination was 4 miles, what is the bicycle courier’s total travel time (in hours) for the round trip?