Log in
Sign up for FREE
arrow_back
Library

Lesson 6.2 Properties of Rational Exponents and Radicals (ALG4)

star
star
star
star
star
Last updated over 1 year ago
10 questions
Note from the author:
I can simplify and rewrite expressions containing rational exponents and nth roots.
I can simplify and rewrite expressions containing rational exponents and nth roots.
4
4
3
3
3
3
3
2
2
2
Question 1
1.

The function
roughly models the life expectancy E (in seconds) of an animal in captivity that has a mass of m kilograms. The function
approximates the heart rate R (in beats per second) of an animal with a mass m (in kilograms). Approximately how many times will a greater kudu’s heartbeat over its expected lifetime in captivity?

Since the units for E(m) are seconds and the units for R(m) are heartbeats per second, multiply the functions to determine the total number of heartbeats. For the greater kudu, replace m with 200.

Question 2
2.

Annie and Sarah both invested money that earned interest compounded annually. Annie’s investment (in dollars) can be represented by the expression

Sarah’s investment (in dollars) can be represented by the expression

How many times greater is Annie’s investment than Sarah’s? First express the actual comparison and then estimate to the nearest hundredths.

Question 3
3.

Simplify the expression.

Question 4
4.

Simplify the expression.

Question 5
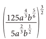
5.

Simplify the expression.

Question 6
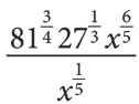
6.

Simplify the expression.

Question 7
7.

Simplify the expression.

Question 8
8.

Simplify the expression.

Question 9
9.

Simplify the expression.

Question 10
10.

Simplify the expression.