Lesson 12.1 Multiply and Divide Rational Expressions
star
star
star
star
star
Last updated over 1 year ago
13 questions
Note from the author:
I can multiply and divide rational expressions.
I can multiply and divide rational expressions.
1 point
1
Question 1
1.
Find the product. List any excluded values in the show your work window.
1 point
1
Question 2
2.
Find the product. List any excluded values in the show your work window.
1 point
1
Question 3
3.
Find the product. List any excluded values in the show your work window.
1 point
1
Question 4
4.
Find the product. List any excluded values in the show your work window.
1 point
1
Question 5
5.
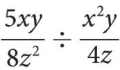
Find the quotient. List any excluded values in the show your work window.
1 point
1
Question 6
6.
Find the quotient. List any excluded values in the show your work window.
1 point
1
Question 7
7.
Find the quotient. List any excluded values in the show your work window.
1 point
1
Question 8
8.
Find the quotient. List any excluded values in the show your work window.
1 point
1
Question 9
9.
Find the quotient. List any excluded values in the show your work window.
1 point
1
Question 10
10.
Find the quotient. List any excluded values in the show your work window.
The height of a rectangular prism is 2.5 times its length. The product of the length and width of the prism is 72 square inches. Let the width of the prism be w.
1 point
1
Question 11
11.
Write an expression for the length in terms of w.
1 point
1
Question 12
12.
Write an expression for the height in terms of w.
1 point
1
Question 13
13.
Write an equation for the volume of the prism in terms of w.