Log in
Sign up for FREE
arrow_back
Library

Lesson 12.3 Solve Rational Equations

star
star
star
star
star
Last updated over 1 year ago
12 questions
Note from the author:
Untitled Section
1
1
2
2
2
2
2
Flat Escalators
2
1
Best Pizza Hut Commercial Ever
1
2
1
I can solve rational equations graphically and algebraically.
I can solve rational equations graphically and algebraically.
Question 1
1.

Solve the rational equation graphically. Paste a screen shot of your Desmos work in the Show Your Work window.

Question 2
2.

Solve the rational equation graphically. Paste a screen shot of your Desmos work in the Show Your Work window.

Question 3
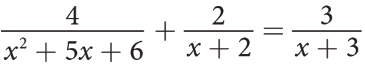
3.

Solve the rational equation algebraically.

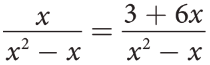
Question 4
4.

Solve the rational equation algebraically.

Question 5
5.

Solve the rational equation algebraically.

Question 6
6.

Solve the rational equation algebraically.

Question 7
7.

Solve the rational equation algebraically.

Marina walks the length of an airport terminal at an average pace of 80 meters per minute. Returning, she walks at the same pace on a moving walkway for the entire distance. It takes her a total of 12 minutes to walk from one end of the terminal to the other and back.

Question 8
8.

Write a rational equation you can use to find the speed of the moving walkway. Let w equal the speed of the moving walkway.

Question 9
9.

What is the speed of the moving walkway?

A baseball player’s batting average is the ratio of the number of hits to the number of times the player is at bat. During spring training, a player has 50 at bats and 13 hits. Partway through the regular season, the player has 46 hits in 200 at bats.
Question 10
10.

What was the player's batting average during spring training?

Question 11
11.

Write a function that represents the players regular season batting average if the player gets x number of hits in all their remaining number of at bats.

Question 12
12.

Use Desmos, to graphically solve for the number of consecutive hits the player would need so that his season batting average is greater than his spring training average?

Paste your Desmos work in the Show Your Work window.