Log in
Sign up for FREE
arrow_back
Library

Study Guide Unit 1: Number System (ACC)

star
star
star
star
star
Last updated over 1 year ago
12 questions
1
MP.1
1
1
1
MP.1
1
MP.2
1
MP.2
1
MP.1
1
MP.1
1
MP.1
1
MP.2
1
1
MP.2
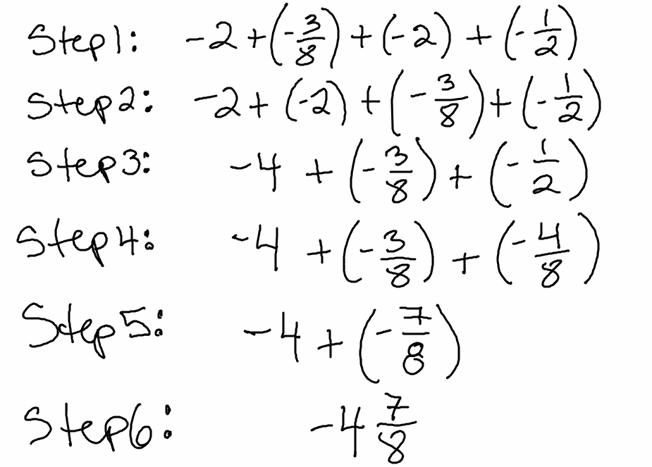
Question 1
1.
Rachel was required to solve the following expression.

She showed her work below. Identify what property she used to solve step by step:
What property did Rachel use from step 1 to step 2?__________
What property did Rachel use from step 2 to step 3? __________
What property did Rachel use from step 4 to step 5? __________
What property did Rachel use from step 5 to step 6?__________
Question 2
2.

Question 3
3.

Ms. Dolinski was a silly goose and made a mistake solving the following expression:


Can you help her and correctly solve the expression? Show your steps so she can learn how to solve it too!

Question 4
4.

Rosalie is trying to match the following expressions with the correct property it's displaying! (Remember, you aren't solving, just helping her match! There are two expressions for each property)

Question 5
5.

Ameya and her four friends are going to dinner to celebrate her birthday! The total cost of the dinner comes to $275.60. So far, they have managed to pool together $112.80. If everyone contributes an equal amount, how much should each friend pitch in to cover the remaining cost of the dinner?

Question 6
6.

Justin plays on a basketball team. In the first game, he scored 3/5 of the total number of points for his team with the team scoring 50 points. Justin had a bad second game and only scored 0.10 of the team's 60 total points. What was the combined number of points that Justin scored for the two games?

Question 7
7.

Cole was asked to solve the following expression.


He showed his work below, but was unorganized with his work! Silly goose! Help Cole put his work in order to get the right answer!

Question 8
8.

Solve using the distributive property.

Question 9
9.

Alexis needs to solve the following expression, but she's getting stuck! Help her solve the expression below!

Question 10
10.

Ben is purchasing 21/2 pounds of cheese that costs $3.70 per pound, 3/4 pounds of celery that costs $0.80 per pound, and 5 pounds of chicken for $6.50 each. How much change will Ben receive if he gives the cashier $50.00?

Question 11
11.
Kylar is looking to make money, so she decided to start a business selling her notebook paper to her classmates. It cost her $2.50 to buy a pack of notebook paper. She managed to sell 20 sheets for $0.75 each.

How much did Kylar make selling paper? _______
How much was Kylar's profit selling paper? _______
If Kylar wanted to do this again next month, how much money would she set aside if she set aside 40% of her profits? _______
If Kylar wanted to do this again next month, how much money would she set aside if she set aside 3/5 of her profits? _______
Question 12
12.

Matthew runs 3.4 miles per hour. He runs for 2 hours a day and 3 days per week. His friend, Mason, only runs 25% of the distance Matthew runs each week. How far does Mason run each week?

Ms. Dolinski was a silly goose and made a mistake solving the following expression:


Her steps are below. Select all the steps where she made a mistake in solving the expression!
Commutative Property
Associative Property
Distributive Property
Multiplicative Inverse
3