Log in
Sign up for FREE
arrow_back
Library

Module 1 Mid Module Assessment

star
star
star
star
star
Last updated over 2 years ago
8 questions
Required
1
3.4.D
Required
1
3.4.E
Required
1
3.4.H
Required
1
3.4.E
Required
1
3.4.E
Question 1
1.

Question 2
2.

Question 3
3.

Question 4
4.

Question 5
5.

Required
1
3.4.H
Required
1
3.4.E
Required
1
3.4.E
Mrs. Tran plants 2 rows of 5 carrots in her garden.
Choose the array that represents Mrs. Tran’s carrots.
5+2
2+2+2+2
2+5
5+5
Mrs. Tran adds 3 more rows of 5 carrots to her garden. Choose a multiplication sentence to describe the array representing the total number of carrots Mrs. Tran planted.
5 x 5 = 25
5+5+5+5+5
3 x 5= 15
2 x 5= 10
Mrs. Tran picks 15 tomatoes from her garden. She puts 5 tomatoes in each bag. How many equal groups(bags) does she put the tomatoes in?
3
2
4
1
Mrs. Tran plants 12 sunflowers in her garden. She plants them in 3 equal rows. Mrs. Tran adds 2 more identical rows of sunflowers to her 3 original rows. Select an array to show how
many flowers she has now.
3+2
4+4+4+4+4
12+12+12
2+3
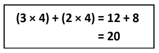
Mrs. Tran figured out how many flowers she planted. Her work is shown in the box below. Would
Mrs. Tran get the same result if she multiplied 5 × 4?

Yes she would get the same result.
No she would get a different answer.
Question 6
6.

Question 7
7.

Question 8
8.

Which picture shows 3 groups of 6?
How many rows of erasers are there?
3
4
2
1
How many erasers are there in each row?
3
1
2
4