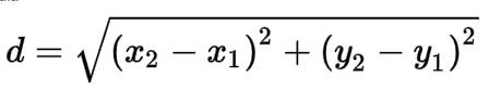
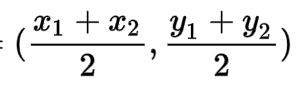
EE UNIT 1-A Distance and Length TEST
star
star
star
star
star
Last updated over 1 year ago
21 questions

4.7
4.75
4.75
4.75
4.75
4.75
4.75
4.75
4.75
4.75
4.75
4.75
4.75

4.75
4.75
4.75
4.75
4.85
4.85
4.75
What point is coplanar with points E,H, and K?
What point is coplanar with points E,H, and K?
4.86