Function Notation
star
star
star
star
star
Last updated over 1 year ago
9 questions
Required
2
Find f(x)=10 ______
Find f(x)=7 ______
Find f(x)= 5 ______
Find f(x)= 9 _______
Other Answer Choices:
6
10
12
6
7
10
18
3
Required
2.5
Find f(3)=______
Find f(12)= ______
Find f(18)=_______
Find f(6)= ______ _______
Other Answer Choices:
10
7
6
10
18
5
7
9
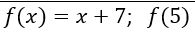
Required
1
Find f(5)=
*HINT* plug the 5 in for "x"
Find f(5)=
*HINT* plug the 5 in for "x"
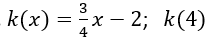
Required
1
Find k(4)
*HINT* plug 4 in for x
Find k(4)
*HINT* plug 4 in for x
Required
1
Find g(-3)
Find g(-3)
Required
1
Find the range if the domain is given
*HINT* Graph the equation and pull up your table
Find the range if the domain is given
*HINT* Graph the equation and pull up your table
Required
1
Find the RANGE given the domain
Find the RANGE given the domain
Required
1
Find the DOMAIN given the range
*HINT* Graph and pull up your table to find your domain
Find the DOMAIN given the range
*HINT* Graph and pull up your table to find your domain
Required
3
Find the "x" value given the "y"
f(x)=3 ______
f(x)=0 _______ ______
f(x)=-3_______ ______
f(x)=2 ______
Other Answer Choices:
-1
3
1
4
0
-2