Log in
Sign up for FREE
arrow_back
Library

Fowler 2023-2024 Retest Sequences

star
star
star
star
star
Last updated over 2 years ago
12 questions
1
1
1
1
1
1
1
1
1
1
1
1
Question 1
1.

Question 2
2.

Question 3
3.

Question 4
4.

Question 5
5.

Question 6
6.

Question 7
7.

Write the explicit rule based on the above information.

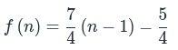
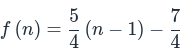
Question 8
8.

If the 3rd term of a geometric sequence is 81 and the 7th term is 1. Find the difference between the 5th term and the 9th term.

Question 9
9.

Write the explicit rule for the graph below.

Question 10
10.

How many total terms are there in the sequence: 7, 10 , 13,...... 391, 394  ?

Question 11
11.

Question 12
12.

Consider the first four terms of the arithmetic sequence below.
−1, 2, 5, 8
If the sequence were continued, which term would have a value of 101?
32nd term
34th term
35th term
299th term
6,24,96,384
6,10,14,18
6,20,100,500
6,20,76,300
You are reading a book. You start on page 20, and every minute that passes, you read another 3 pages. Let be a positive integer, and let f(n) denote the page you are on  minutes after you start reading.
What is the correct explicit form of the sequence ?
A research lab is to begin experimentation with bacteria that doubles every 4 hours .The lab starts with 200 bacteria. Which recursive formula represents the growth numbers of the bacteria?
Using the above scenario of bacterial growth predict how many bacteria will be present at the end of 12 hours?
800
1600
2400
819200