Log in
Sign up for FREE
arrow_back
Library
Week 5 Quiz (9/8/2023)
By James Parson
star
star
star
star
star
Share
share
Last updated about 2 months ago
6 questions
Add this activity
Required
8
Required
10
Required
5
Required
10
Required
5
Required
10
Question 1
1.
Question 2
2.
Simplify each expression by distributing and combining like terms.
visibility
View drawing
Question 3
3.
Put the steps to solving this equation in the right order.
Distribute the -4 to simplify the equation to
-8b - 20 = -84
divide both sides of the equation by -8 to get the solution
b=8
Before we start solving, we identify the variable
b,
so we can solve for it the variable
Check your solution by evaluating
-4(2b+5) to see if it equals -84
Add 20 to both sides of the equation to get
-8b = -64
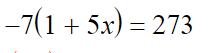
Question 4
4.
Solve this equation.
visibility
View drawing
Question 5
5.
Translate this expression.
“twice a number less than four”
Question 6
6.
Solve this multi-step equation.
Show your work (SYW)
visibility
View drawing
Which words or phrases have the same meaning as
subtraction
?
the distance between
increased by
difference
multiply
less than
groups of
___ groups of ___
product
how many groups of_____ are in_____
decreased by
together